Екатерина Александровна Вавилова - Все науки. 6, 2022. Международный научный журнал стр 15.

Книгу можно купить на ЛитРес.
Всего за 360 руб. Купить полную версию
Шрифт
Фон

И именно из утверждения наличия составного ядра и существованию каналов распада ядер, можно сделать вывод о существовании каналов реакций. Сами по себе каналы реакции  это способы перехода из возбуждённого в невозбуждённое состояние. Типа и квантовое состояние налетающих частиц и ядер до начала реакции определяют входной канал ядерной реакции, после завершения же реакции совокупность образовавшихся частиц, то есть продуктов реакции и их квантовое состояние определяется результирующий выходной канал реакции. Полная характеристика ядерной реакции осуществляется входными и выходными каналами.

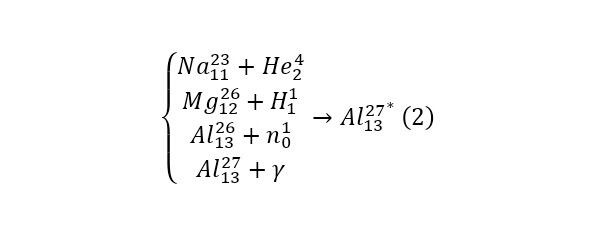
Составное ядро само по себе живёт довольно долгое время, благодаря чему сам выбор канала реакции вовсе не зависит от способа образования составного ядра, благодаря чему оно «забывает», как было образовано. Это становится причиной для утверждения независимости процессов организации составного ядра и его распада. Ярким примером может быть ситуация образования возбуждённого ядра алюминия-27 следующими способами (2).



Но распадается это яро одинаково во всех случаях, при условии одинаковой энергии возбуждения. Но при этом имеется и возможно распада обратным любой из этих реакций, с определённой вероятностью, не зависящей от истории возникновения самого возбуждённого ядра. Если же говорить о вероятности таких событий, то зависимость становится между сортом ядра-мишени и энергий.

Как и было ранее указано, ядерные реакции могут также протекать и по прямому каналу взаимодействия при больших энергиях, поскольку нуклоны ядра можно рассматривать как свободные. Отличие от предыдущей модели составного ядра от модели прямых реакции состоит изначально в распределении векторов импульсов частиц-продуктов ядерной реакции, относительно импульса бомбардирующих частиц. Если же в составной модели действует сферическая симметрия, то в данном случае геометрия более проста и преимущество в выборе направлений результирующими частицами состоит в направлении входящих частиц.

Ранее упоминалось понятие вероятности ядерной реакции, которая представляется величиной, которая называется эффективным сечением ядерной реакции. В лабораторной системе отчёта принимается ситуация покоя ядра-мишени, вероятность взаимодействия определяется произведением сечения на поток падающих частиц, при этом сечение выражается в единицах площади, а поток в количестве частиц, пересекающих единицу площади в единицу времени. Само сечение ядерной реакции исчисляется в крайне малых единицах площади  барнах, равных 1024 см2.

Отношение случаев реакции, отнесённое к числу бомбардировавших мишень частиц, называется выходом ядерной реакции. Эта величина определяется экспериментально при количественных измерений, что связано с сечением реакций, а измерение этого выхода в самой сути  измерения сечения реакции.

Законы физики, в том числе и законы сохранения конечно же действуют и в ядерных реакциях. Эти законы накладывают определённых ограничения на возможность самого осуществления ядерной реакции. Также существуют и некоторые более специфичные законы сохранения, свойственные для микромира, примером таких могут стать закон сохранения барионного или лептонного числа. Они выполняются на всех известных реакциях, но некоторые другие законы сохранения чётности, изоспина, странности, лишь действуют в фундаментальных взаимодействиях. Следствие из них  это правила отбора, определяющие настоящие и невозможные ядерные реакции, которые можно осуществить.

Закон сохранения энергии в ядерных реакциях действуют предсказуемо, но очень специфически для представителей макромира. При этом выполняется равенство сумм полных энергий (3).



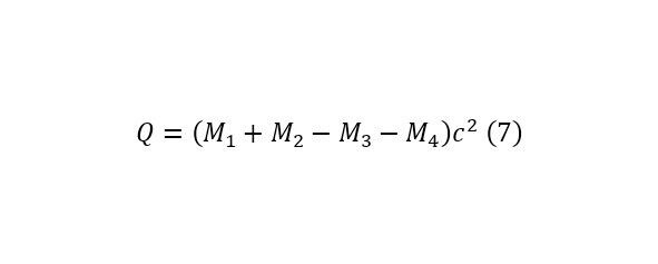
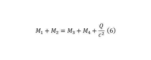
Если же расписать (3), то можно получить (4), из которого следует энергия реакции (5), которая удовлетворяет (6).





Таким образом (5), можно переписать и как (7).



Если же выход реакции больше нуля, то это реакция экзо-энергетическая и сопровождается выделением энергии в кинетическую энергию продуктов реакции, в обратном случае  поглощением и называется эндо-энергетической. Регулировка подобного процесс становится понятным и по разности масс до и после реакции и при положительной разности можно сказать, что она превращается в кинетическую энергию и реакция генерирует энергию, в обратном случае, то есть при отрицательной разности, процесс её поглощает.

Ваша оценка очень важна

0
Шрифт
Фон

Помогите Вашим друзьям узнать о библиотеке

Скачать книгу

Если нет возможности читать онлайн, скачайте книгу файлом для электронной книжки и читайте офлайн.

fb2.zip txt txt.zip rtf.zip a4.pdf a6.pdf mobi.prc epub ios.epub fb3