Boxodir Xoshimovich - All sciences. 6, 2022. International Scientific Journal стр 7.

Шрифт
Фон

The components of the aijk tensor are nonzero for 20 acentric symmetry groups. If the electrodes of the crystal are opened, the photovoltaic current Ji generates photovoltaic voltages



where σt and σf, respectively, are the dark and photoconductivity, l is the distance between the electrodes. The generated photovoltage is of the order of 103105 V, thus exceeding the value of the band gap Eg by two to four orders of magnitude.

In accordance with (1) and the symmetry of the point group of the crystal, expressions can be written for the photovoltaic current Ji. Comparison of the experimental angular dependence of Ji (β) with (1) makes it possible to determine the photovoltaic tensor aijk or photovoltaic coefficient



a* is the light absorption coefficient.

As shown by Belinicher [4], depending on the shape of the optical indicatrix and the direction of propagation of plane polarized light in the crystal, there may be directions for which the photovoltaic current (1) is spatially oscillating. In this case:



where ne, n0 are the refractive indices of ordinary and extraordinary rays, Ee and E0* are the projections of the polarization vector of light on the optical axes of the crystal,



In this case, the photovoltaic current (2) oscillates in the crystal with a period of



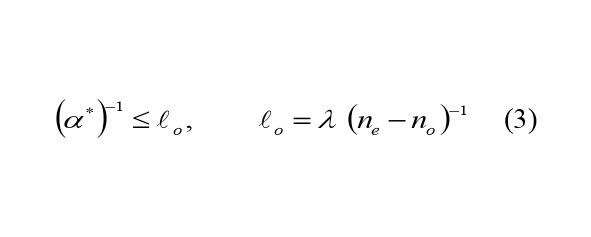
As indicated in [4] and as can be seen from (2), a spatially oscillating photovoltaic current (SWEAT) can be experimentally observed under conditions of strong light absorption.



where α* is the absorption coefficient.

1. SPATIALLY OSCILLATING PHOTOVOLTAIC CURRENT IN SbSi FERROELECTRIC

In this paper, a spatially oscillating photovoltaic current (POFT) in the direction [100] in the SbSI ferroelectric is detected and investigated when illuminated with polarized light in the direction [010].

Antimony sulfoiodide (SbSI) belongs to the class of chalcogenides of metals of the fifth group AVBVICII, where A-Sb; Bi; B-S, Se, Te; C-CL, Br, I. SbSI and SbSIxBr1-x crystals are biaxial, have a large double refraction, below temperature. Curie Tc=220C SbSI crystals belong to the mm2 class and have rhombic symmetry. During the phase transformation, the center of symmetry disappears, therefore, SbSI crystals become ferroelectrics below the transition point.

The phase transition at 220C was registered for the first time by Fatuzzo [5] with a change in the temperature dependence of the dielectric constant. Crystals have pronounced semiconductor properties, their photovoltaic properties are well studied [1].

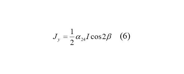
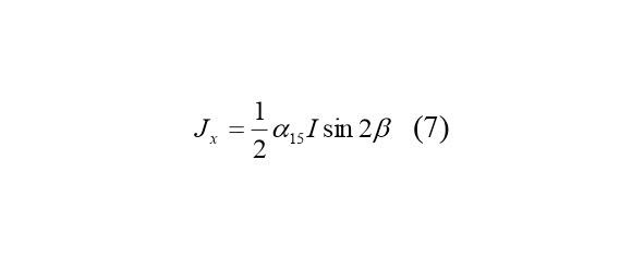
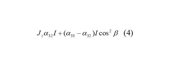
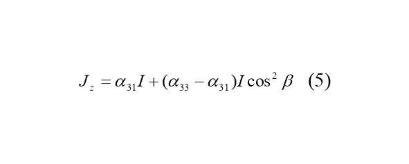
Measurements were carried out for SbSI single crystals in the ferroelectric phase at a temperature of T = 133 K. The crystal was illuminated by plane polarized light using a xenon lamp and a ZMR monochromator. The stationary photovoltaic current J was measured by the method previously described [1]. In accordance with the SbSI symmetry (point group mm2), when measuring Jz (z is the direction of spontaneous polarization) and illuminating the crystal in the x and y directions, POFT does not occur. The expression for the photovoltaic current Jz when illuminated in the x and y directions, respectively, has the form:




where I is the light intensity, β is the angle between the plane of polarization of light and the z axis. In Fig.1, curve 1 represents the experimental angular dependence of Jz (β) for λ=600 nm when illuminated along [100]. From the comparison of the experimental angular dependences of Jz (β) with (4) and (5), the numerical values of αιjκ or photovoltaic coefficients were estimated



Taking into account pleochroism and anisotropy of light reflection in SbSI [6], the following values were obtained:

K314*108; K323*108; K33 (23) *108A*cm* (W) -1. Thus, in SbSI, the photovoltaic coefficients K31, K32, K33 are more than an order of magnitude higher than the corresponding coefficients in LiNbO3: Fe.


Fig.1. Dependence of the photovoltaic current Jz (1) at l = 600 nm and Jx (2) at l = 460 on the orientation of the plane of polarization of light in SbSI.


According to (2), for SbSI, the photovoltaic current components are spatially oscillating. However, when the crystal is illuminated in the region of strong absorption in the direction of the x or y axes and when condition (3) is met, currents flow along the surfaces (100) and (010), respectively.




where β is the angle between the plane of polarization of light and the z axis. According to [1,7] for SbSI, the strong absorption condition (3) should be fulfilled already at λ470 nm. To observe the POFT under conditions of strong absorption, silver electrodes in the form of bands parallel to the axis of spontaneous polarization z were sprayed onto the face of the cinacoid (010). Using these electrodes, when the crystal was illuminated in the direction [010] by polarized light with λ=460 nm, the current Jx curve 2 was measured and the current Jz was measured in the long-wavelength region (λ=600nm, curve 1).The angular dependence of the measured current satisfies (5), while the Oh current in this region cannot be observed at all due to violation of condition (3) and spatial oscillation. Figure 2 shows the spectral Jz (curve 1), Jx (curve 2), attributed to the unit of incident energy, as well as the spectral dependence



constructed taking into account the dispersion of n0, pe and the absorption coefficient α* in the [010] direction.

Angular dependence Jx (β) in the form of curve 2, which agrees well with (7) at K15= (24) ·109A·cm· (W) -1 (λ=460nm).


Fig. 2. Spectral dependence of Jz (1), Jx (2) and L=l0a* (3).


While the spectral dependence measured earlier in is monotonic, the spectral dependence of Jx detects a sharp maximum near L1. Thus, the decline of Jx in the long-wave region, where L <<1, is due to POFT. The decline of Jx in the short wave region, where L> 1, is interesting.Since the AF effect is not related to the lifetime of nonequilibrium carriers, it is possible that this short-wave decline of Jx is due to a decrease in K15 and, consequently, mobility in the direction [100].

Ваша оценка очень важна

0
Шрифт
Фон

Помогите Вашим друзьям узнать о библиотеке

Скачать книгу

Если нет возможности читать онлайн, скачайте книгу файлом для электронной книжки и читайте офлайн.

fb2.zip txt txt.zip rtf.zip a4.pdf a6.pdf mobi.prc epub ios.epub fb3