Boxodir Xoshimovich - All sciences. 6, 2022. International Scientific Journal стр 13.

Шрифт
Фон

Но уменьшать скорость нужно так, чтобы частица прошла кулоновский барьер, из этого и можно сделать вывод, что энергия частицы максимально должна быть близкой к кулоновскому барьеру. И здесь, величина кулоновского барьера  это и есть резонансная энергия этой ядерной реакции.

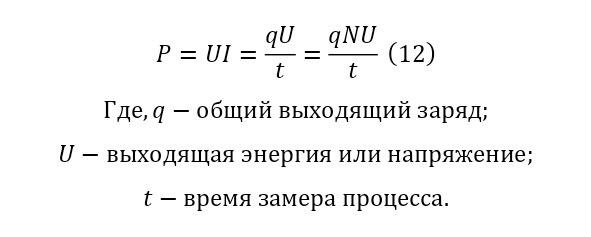
Теперь, как же определить выходящую мощность? Для этого нужно вычислить энергию, что уже просто сделать, но как же определить резонансных ток? Чтобы его определить представим следующее. Пластина-мишень состоит из расположенных атомов и пусть внутрь входит определённое число заряженных частиц. Если расположить на начале мишени систему отсчёта, то можно использовать следующее положение о том, что частицы пройдут некоторую часть мишени, которая начинается на определённой координате и завершается на координате суммы этой координаты и толщины самой части, а толщина равна разности этих координат.

Встаёт вопрос к этому условию: сколько входящих заряженных частиц войдут во взаимодействие? Для этого укажем, что на первой координате имеется N (x) частиц, а на конечной точке N (x) -dN, соответственно, где dN  число взаимодействовавших заряженных частиц.

Определим количество ядер в этом отрезке двух координат  x и x+dx, если толщина между ними dx. Для этого введём значение плотности ядер, которое определяет количество ядер вещества в единице объёма, она определяется как отношение плотности вещества на его атомную массу в кг и изменяется в ядро/м3 (2).



Чтобы определить сколько ядер в указанной точке, достаточно эту величину (2) умножить на объём в этой части пластины, для этого её площадь умножается на толщину и на (2), что указано в (3).



Но чему равна площадь, попав в которую ядро попадёт во взаимодействие? Для одного ядра введём понятие ядерного эффективного сечения, той самой области, а поскольку действия происходят в круге относительно ядра атома, то эта величина определяется по (4).



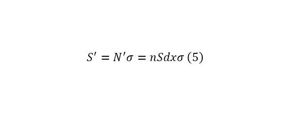
Таким образом, площадь доступная для взаимодействия составляет (5).



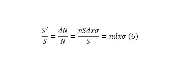
Но отношение этой площади ко всей площади плиты ведь равняется отношению количества всех оставшихся без взаимодействия частиц на общее количество частиц, то есть верно (6).



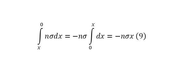
Теперь, введём численное определение для (6), а для этого проинтегрируем обе части (7) отдельно в (8) и (9), а затем получим общий результат (10).






Отсюда можно получить значение про-взаимодействовавших частиц (11).



А выходящую мощность можно вычислить и благодаря (12).



Откуда и получается скачок в мощности, то есть резонанс при приближении к энергии кулоновского взаимодействия в ядерной реакции. Именно этот процесс и является основной в этом направлении, которая позволяет при калибровке энергии получать резкие скачки в мощностях, а чтобы их осуществить необходимо создание и разработка специальных моноэнергетических ускорителей заряженных частиц с первым линейным ускорением, далее циклотронным.

Сегодня ведётся разработка единственного во всём мире моноэнергетического ускорителя ООО «Electron Laboratory» совместно с Объединённым Институтом Ядерных Исследований и Федеральным Государственным Унитарным Предприятием «Научно-исследовательский Институт Электрофизической Аппаратуры имени Дмитрия Васильевича Ефремова» и других организаций.

Для описания самого ускорителя достаточно привести небольшое цитирование из монографии Алиева И. Х. «Новые параметры по ядерным реакциям для осуществления на ускорителе заряженных частиц ЛЦУ-ЭПД-300»:

«Когда же актуальность проблемы энергетического голода в планетарном масштабе не раз была доказана и продемонстрирована проблема необходимости создания устройства и метода генерации электрической энергии с высокой эффективностью в крайне больших масштабах, что позволяло бы разрешить эту проблему и открыть путь для целого спектра многочисленных проектов и научных работ, нуждающиеся в подобном источнике электрической энергии, становится следующим этапом на пути развития этого большого проекта.

Ваша оценка очень важна

0
Шрифт
Фон

Помогите Вашим друзьям узнать о библиотеке