Рахматулла Асадуллаевич Усманов - Модели анализа, синтеза и оптимизации показателей организованных систем хлопкового комплекса. Проблемы хлопка стр 8.

Шрифт
Фон

Затраты обслуживающих производство складов материалов и топлива, транспортного хозяйства, лабораторий, противопожарной и сторожевой охраны, хозяйственно-питьевого водоснабжения, отопления зданий и помещений, а также затраты по освещению и очистке территорий, по уборке и вывозу мусора, технике безопасности и прочие затраты хлопкозавода также включаются в затраты комплектов машин пропорционально затратам основного и вспомогательного производства.

Известно, что совокупные общезаводские текущие затраты хлопкоочистительного завода по переработке хлопка включают расходы как эксплуатационного, так и неэксплуатационного периода. Это обстоятельство необходимо учитывать при определении затрат по элементам и отнесении их к затратам комплектов машин в соответствии с «Положением о составе затрат».

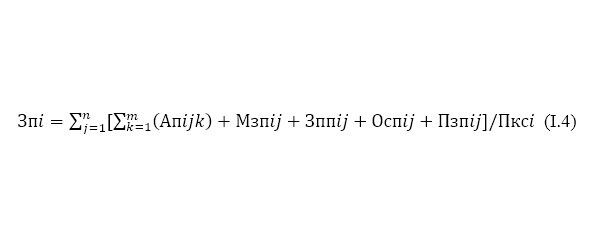
Тогда текущие эксплуатационные затраты на единицу продукции (себестоимость переработки) комплексов машин для выработки хлопковой продукции, а также для систем машин для переработки хлопка-сырца и подготовки посевных семян, приходящиеся на соответствующие виды хлопковой продукции, определяются по формуле:



где Зпi  текущие эксплуатационные затраты на единицу продукции (себестоимость переработки) комплексов машин для выработки хлопковой продукции (i = 1,.., 5; хлопковое волокно, хлопковый линт, хлопковые семена, улюкосодержащие и пухосодержащие отходы) и подготовки посевных семян хлопка (i = 6), а также текущие эксплуатационные затраты систем машин для обработки хлопка и выработки хлопковой продукции (i = 7), сум;

i  присвоенные номера для наименований комплексов машин и систем машин для переработки хлопка;

j  присвоенные номера для наименований комплектов машин в системе машин для обработки хлопка и выработки хлопковой продукции;

n  количество комплектов машин в комплексах машин и систем машин для переработки хлопка и подготовки посевных семян;

k  присвоенные номера для машин и оборудования в комплекте машин для переработки хлопка и подготовки посевных семян;

m  количество машин и оборудования в комплекте машин для переработки хлопка и подготовки посевных семян;

Апijk  амортизация основных средств и нематериальных активов производственного назначения, приходящиеся на k-ю машину j -го комплекта машин в i-м комплексе, сум/ч;

Мзпij  производственные материальные затраты непрерывного технологического потока переработки хлопка, включая затраты на упаковочные материалы, топливо теплогенераторов и жидкости гидросистемы, приходящиеся на j-й комплект машин в i-м комплексе, сум/ч;

Зппij  затраты на оплату труда основных и вспомогательных рабочих непрерывного технологического потока переработки хлопка, включая оплату труда подавальщиков хлопка и рабочих прессового участка, приходящиеся на j-й комплект машин в i-м комплексе машин, сум/ч;

Оспij  отчисления на социальное страхование основных и вспомогательных рабочих, приходящиеся на j-й комплект машин в i -м комплексе, сум/ч;

Пзпij  прочие затраты производственного характера, приходящиеся на j-й комплект машин в i-м комплексе, сум/ч;

Пксi  производительность комплексов машин по видам хлопковой продукции, т/ч.

Умножая максимально допустимые часовые расходы электрической энергии и текущие часовые эксплуатационные затраты на время работы комплексов машин в смене, на время переработки партии хлопка-сырца, на время работы в месяц и т.д., получаем для соответствующего периода максимально допустимые расходы электрической энергии и текущие эксплуатационные затраты на комплексы машин для выработки конкретного вида хлопковой продукции.

Оптовая цена предприятия для соответствующего вида хлопковой продукции хлопкового комплекса определяется по формулам:


Цхпi = Спi (1+Рн/100) +РПi = Спi + Пнi +РПi (I.5a)


Цхпс = Схп3+ Нхс+Зп6 (1+Рн/100) +Здпс  Слп (I.5б),


где Цхпi  оптовые цены предприятий для i-го вида хлопковой продукции (i = 1, , 5; волокно, линт, семена, улюкосодержащие и пухосодержащие отходы) хлопкового комплекса, сум;

Спi  производственная себестоимость для одной тонны i-й хлопковой продукции, сум;

РПi  расходы периода, приходящиеся на одну тонну i-й хлопковой продукции, которые определяются распределением расходов периода предприятия пропорционально производственной себестоимости хлопковой продукции, сум;

Ваша оценка очень важна

0
Шрифт
Фон

Помогите Вашим друзьям узнать о библиотеке

Скачать книгу

Если нет возможности читать онлайн, скачайте книгу файлом для электронной книжки и читайте офлайн.

fb2.zip txt txt.zip rtf.zip a4.pdf a6.pdf mobi.prc epub ios.epub fb3