Денис Владимирович Соломатин - Математические модели в естественнонаучном образовании. Том I стр 15.

Шрифт
Фон

Далее займёмся вопросами линеаризации. Следующая цель определить, что заставляет одни равновесия быть стабильными, а другие нестабильными.

Стабильность зависит от того, что происходит вблизи равновесия. Итак, чтобы сконцентрироваться в окрестности , рассмотрим популяцию , где   очень маленькое число, которое говорит о том, насколько далеко популяция находится от состояния равновесия. Называется  отклонением от равновесия и интересно тем, как оно меняется с течением времени. Вычислим  и используем его для поиска . Если  больше, чем  по абсолютной величине, то можно сделать вывод о том, что  отдалилось от . Если наоборот,  меньше  по абсолютной величине, то  приблизилось к . Если теперь проанализировать, как меняется  на всех достаточно малых значениях , то можно будет определить, является ли исследуемое равновесие стабильным или нестабильным. Растущее отклонение означает нестабильность, в то время как уменьшающееся означает стабилизацию. Здесь не учитывается знак отклонения, рассматривая лишь абсолютное значение. Знак стоит принимать во внимание в последнюю очередь, так как он не имеет прямого отношения к вопросу о стабильности.

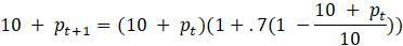
Пример. Рассмотрим модель , с которой уже сталкивались ранее и знаем, что равновесие достигается в точках  и 10. В первую очередь исследуем , которое, судя по графику, стабилен на основании численных экспериментов. Подстановка значений  и  в уравнение для модели приводит к следующему выводу:









Заметим, что  является очень малым числом, меньше 1, следовательно,  еще меньше и ничтожно мало по сравнению с . Таким образом .

Это означает, что значения  близкие к равновесию будут иметь отклонение от равновесия, уменьшающееся примерно в 0.3 раза с каждым последующим шагом времени. Поэтому небольшие отклонение от равновесия в дальнейшем уменьшаются и  действительно стабильное значение.

Можно смотреть на число 0.3 как на «коэффициент растяжения», который говорит о том, насколько стремительно меняются отклонения от равновесия с течением времени. В данном примере, поскольку растягиваемся в менее чем 1 раз, на деле имеет место сжатие.

Процесс, описанный в примере выше, называется линеаризацией модели в равновесии, потому что сначала фокусируем внимание вблизи равновесия путем линейной замены , а затем игнорируем члены степени больше 1 в . Остается только линейная модель, аппроксимирующая исходную модель. Линейные модели, как видели, легко понять, потому что они производят либо экспоненциальный рост, либо распад.

Вопросы для самопроверки:

 Выполните аналогичный анализ для другого равновесия этой модели, чтобы показать, что оно нестабильно. Каким будет коэффициент растяжения, на который расстояния от точки равновесия растут с каждым шагом времени?

В результате аналогичного анализа в окрестности 0 обнаружится, что линеаризация при  дает . Поэтому возмущения от этого равновесия со временем растут, следовательно,  неустойчиво. В общем случае, когда коэффициент растяжения больше 1 по абсолютной величине, равновесие нестабильно. И наоборот, когда оно меньше 1 по абсолютной величине, равновесие стабильно.

Из курса математического анализа известно, что вышеописанный процесс линеаризации напоминает аппроксимацию графика функции по касательной прямой. Развивая эту идею коэффициент растяжения в предыдущем примере можно было бы выразить как отношение  при бесконечно малых значениях . Но , где  уравнение, определяющее модель. Заметим, что в последнем равносильном преобразовании использовалось равенство . Поскольку интересны лишь значения , очень близкие к , то последнее выражение очень близко к предельному значению . Но этот предел по определению является не чем иным, как производной , производной функции, определяющей модель. Итак, мы доказали следующую теорему.

Ваша оценка очень важна

0
Шрифт
Фон

Помогите Вашим друзьям узнать о библиотеке

Скачать книгу

Если нет возможности читать онлайн, скачайте книгу файлом для электронной книжки и читайте офлайн.

fb2.zip txt txt.zip rtf.zip a4.pdf a6.pdf mobi.prc epub ios.epub fb3