Андрей Васильевич Трундов - Высокоскоростные печатные платы. Сохранение целостности электрических сигналов и электропитания стр 4.

Книгу можно купить на ЛитРес.
Всего за 200 руб. Купить полную версию
Шрифт
Фон

Индуктивная связь является второй из важнейших иллюстраций взаимодействия между соседними линиями передачи через магнитное поле.

Как и линии напряженности электрического поля, линии напряженности магнитного поля, их число на единицу объема, показывают величину и рельеф магнитного поля.


Если нарисовать векторы магнитной индукции по касательной к силовым линиям магнитного поля в центре витка с током, все они будут совпадать по направлению и суммарная величина магнитного потока, созданного такими векторами, будет равна сумме величин всех векторов в данной точке пространства. То есть, концентрация векторов и магнитный поток в центре витка с током будет иметь максимальное значение.


Рис. 3 Увеличение магнитного потока в центре витка с током


В месте изгиба проводника концентрация векторов магнитной индукции увеличивается по сравнению с их количеством на единицу прямого участка линии. Увеличение концентрации векторов в таких зонах говорит о локальном увеличении индуктивности и повышении энергии магнитного поля.

Именно из-за наличия изгибов и контуров большой крутизны и площади резко возрастает вероятность и уровень наводки между соседними линиями передачи.


Рис. 4 Повышение концентрации векторов B в центре изгиба проводника


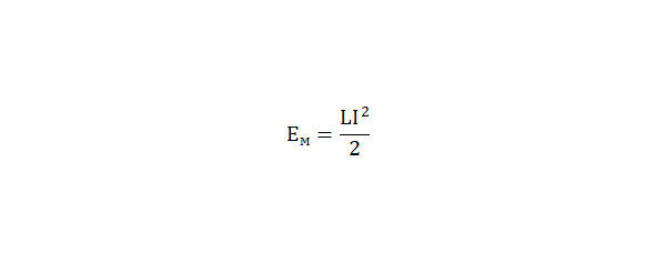
Энергия магнитного поля определяется из выражения



Если сила тока и его скорость в проводнике меняются (например, в местах прохождения фронта или спада прямоугольного сигнала), вокруг проводника возникает переменное магнитное поле, которое создает (порождает вокруг себя) переменное электрическое поле. Такое взаимодействие приводит к появлению электромагнитного поля.


Рис. 5 Формирование электромагнитной волны


В вакууме направление и величина напряженности магнитного поля H и вектора магнитной индукции B совпадают. В общем случае справедливо выражение.



,где µ0 = 4π*107 Гн/м  магнитная постоянная, µ  магнитная проницаемость среды, π = 3,14  постоянный коэффициент.


Вектор напряженности электрического поля перпендикулярен вектору напряженности магнитного поля. Вектор Умова-Пойнтинга П, равный векторному произведению векторов электрической напряженности E и магнитной напряженности H, показывает количество энергии и направление распространения электромагнитного поля.


На рисунке выше векторы показаны только в одной точке пространства. Если изобразить распространение волны для фронта прямоугольного импульса, волна будет излучаться от проводника в окружающую среду и будет перемещаться по ходу движения фронта сигнала вдоль проводника с током.


Рис. 6 Электромагнитное поле, сформированное фронтом импульса в проводнике


Электромагнитные волны способны накладываться друг на друга, например, при отражении от неоднородностей. Такое явление называется интерференцией.

Электромагнитные волны способны огибать препятствия, если размеры препятствий соизмеримы с длиной волны или меньше длины волны. Такое явление называется дифракцией.

Электромагнитные волны способны наводиться на проводники, формируя в них вихревые токи.

Электромагнитные волны способны поглощаться в электрических материалах и диэлектриках с потерей энергии.


Если проводник или проводящая поверхность не заземлены, они могут стать источником вторичного излучения. В этом случае волна будет переизлучаться или отражаться. При соединении данной проводящей поверхности с землей, энергия излучения будет снижена до минимального значения. На этом принципе основано электрическое экранирование.


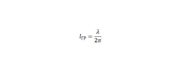
Величины электрического поля и магнитного поля убывают с увеличением расстояния от источника сигнала. Различают распространение электромагнитной волны в ближнем поле и дальнем поле. Граница lгр между полями определяется выражением



,где   длина волны.

Цифровой сигнал

Цифровой сигнал является носителем информации. Основная задача системы передачи информации  обеспечить неискаженную передачу цифровых сигналов из источника в приемник. Приемник должен правильно «распознать» логические нули и единицы (в двоичной системе счисления) для восстановления сигнала, претерпевшего искажения в линии передачи. Важно знать основные характеристики прямоугольного импульса напряжения, причины, приводящие к искажению импульсов и построить систему передачи так, чтобы либо предотвратить или уменьшить эти искажения, либо восстановить сигнал по некоторым критериям.

Ваша оценка очень важна

0
Шрифт
Фон

Помогите Вашим друзьям узнать о библиотеке

Скачать книгу

Если нет возможности читать онлайн, скачайте книгу файлом для электронной книжки и читайте офлайн.

fb2.zip txt txt.zip rtf.zip a4.pdf a6.pdf mobi.prc epub ios.epub fb3