Боходир Хошимович Каримов - Все науки. 4, 2022. Международный научный журнал стр 3.

Книгу можно купить на ЛитРес.
Всего за 160 руб. Купить полную версию
Шрифт
Фон

Данная работа была величайшим вкладом и делом всей жизни гениального учёного Каримова как в электродинамику, так и всю физическую науку в целом.

Великий учёный покинул этот мир 28 мая 1999 года.

Боходир Хошимович Каримов

ФИЗИКО-МАТЕМАТИЧЕСКИЕ НАУКИ

МЕТОДЫ ИЗМЕРЕНИЯ ВЫСОКОГО ВАКУУМА

Каримов Боходир Хошимович


Кандидат физико-математических наук, доцент физико-технического факультета Ферганского Государственного Университета; Научный руководитель OOO «Electron Laboratory»

OOO «Electron Laboratory», Узбекистан


Ферганский Государственный Университет, Узбекистан

Аннотация. Получение вакуума в ускорительной системе для её дальнейшего использования и проведения экспериментов, но также важно наличие доказательства существования этого вакуума и знание его уровня в численном соотношение. Обычные вакуумметры  манометры, недостаточно чувствительны для измерения высокого вакуума, по этой причине и были разработаны более совершенные вакуумметры.

Ключевые слова: вакуумметр, ионы, ускорители заряженных частиц, преобразователи, вакуумные системы.

Annotation. Obtaining a vacuum in an accelerator system for its further use and conducting experiments, but it is also important to have proof of the existence of this vacuum and knowledge of its level in numerical terms. Conventional vacuum gauges, pressure gauges, are not sensitive enough to measure high vacuum, for this reason, more advanced vacuum meters have been developed.

Keywords: vacuum meter, ions, charged particle accelerators, converters, vacuum systems.


Подобный вакуумметр состоит из удлинённой металлической нити-катода, а также обвитого вокруг него по спирали металлического анода, напряжение между, которыми составляет + (100200) В, соединённый при помощи первого конденсатора. А за анодом находиться окружающий вокруг плотный металлический коллектор, который относительно катода при помощи второго составляет -50 В. Электроны вылетая из раскалённого катода проходят в сторону анода, при этом ионизируя ионы, которые направляются уже к коллектору.

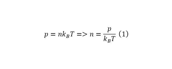
Количество и общий заряд ионов воздуха на коллекторе, позволяет определить концентрацию молекул, это уже позволяет рассчитать и давление, по (1).



Для увеличения эффективности измерений и чувствительности прибора при этом также целесообразно применять магнитные поля, которые заставляя двигаться потоки электронов по спирали усиливают процесс ионизации в разы, делая устройство гораздо чувствительнее.

При доведении же разности потенциалов между анодом и катодом до 2,5 кВ, сохраняя ту же пропорцию между остальными точками, позволяет установить диапазон значений, при измерении, манометрического преобразователя от 1 до 107 Па, подобно преобразователю ПММ-32-1.


Преобразователь ПММ-32-1


Также исследуя вопросы относительно вакуума, важно исследовать и вопрос определения течи, если таковые имеются в конструкции. Разумеется, обычные способы не позволят определить микроскопические течи, которые тем не менее не будут позволять достигать высокого уровня вакуума из-за большой силы внешнего атмосферного давления, вводящий инородные молекулы.

При поиске подобных течей, эффективно использование магнитных масс-спектрометров, соединяя их с сосудом ускорителя. Вводиться снаружи инородный, пробный газ, гелий, который является также инертным  не входящим в реакцию с иными веществами.

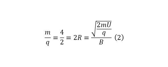
Этот газ засасывается в систему, ведя за собой иные молекулы, если таковые имеются, из-за того, что массы разных атомов и ионов разные, то попадая в магнитное поле, их радиус будет разным, что позволит определять вид введённой частицы. При этом константу m/q для него нужно настроить по (2).



Где, в качестве отношения имеется атомная масса гелия к его заряду, что позволяет определить радиус, а также напряжение и при отклонении от расчётного показателя, можно определить наличие или отсутствие течи, а также рассчитать её примерное местоположение.

Таким образом на этом и завершаются вопросы исследования вакуумных технологий, которые, конечно, не завершаются и являются отдельной наукой, останавливающаяся на вопросах поиска соответствующих материалов для ускорителя, откачки воздуха и получения самого вакуума, поиска течей и ликвидации кислорода с самих стенок сосуда, а также измерения самого вакуума.

Ваша оценка очень важна

0
Шрифт
Фон

Помогите Вашим друзьям узнать о библиотеке

Скачать книгу

Если нет возможности читать онлайн, скачайте книгу файлом для электронной книжки и читайте офлайн.

fb2.zip txt txt.zip rtf.zip a4.pdf a6.pdf mobi.prc epub ios.epub fb3