Юрий Витальевич Козлов - Общая теория всего физического мира стр 2.

Книгу можно купить на ЛитРес.
Всего за 52 руб. Купить полную версию
Шрифт
Фон

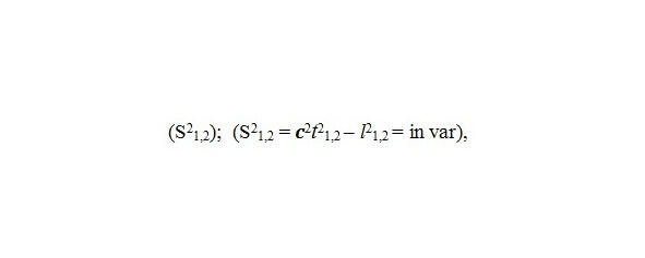
А. Эйнштейн в специальной теории относительности (СТО), в отличие от Ньютона, абсолютизировал не пространство и время порознь, а пространственно-временной интервал



объединяющий их в единое целое. Эйнштейн, апеллируя понятием постоянной скорости света (с), показал прямую зависимость между расстоянием (l1,2) и временем между событиями (t1,2) внутри некой очерченной системы координат, предположим галактической системы. При этом (по Эйнштейну) пространственно-временной интервал может быть либо положительным (S21,2> 0), либо отрицательным (S21,2 <0), либо равным нулю (S21,2 = 0). Задача состоит в том, чтобы описать галактическую систему в ее внутреннем четырехмерном пространстве, представляющем собой корпускулярно  волновую систему, включающую в себя некий корпус (энергия материи) и полеидально  волновую составляющую энергии. При этом энергия поля должна трансформироваться в энергию материи и наоборот.

Каждая галактика характеризуется собственным линейным временем и собственным трёхмерным пространством, объединенным в четырёхмерье. Для математической интерпретации физики процессов, происходящих внутри четырехмерья галактики, наиважнейшим является определение точки (?) начала координат целостной системы. В четырехмерной системе координат, на осях которой откладываются x; y; z и t, галактическая точка (?) НОЛЬ (0) будет началом координат. Время (t) и пространство (x; y; z) внутри системы начинается там и тогда, где и когда рождается масса. Место рождения массы, как и из чего она рождается внутри системы, является главенствующим фактором для описания картины Мира. Решение этого вопроса невозможно без соблюдения главенствующего закона Мироздания, ЗАКОНА СОХРАНЕНИЯ ЭНЕРГИИ.

В квантовой теории, предлагающей частично-волновой дуализм, неопределенность физического описания микроскопических объектов возводится в принцип, носящий имя Вернера Гейзенберга. Из гейзенбергских соотношений неопределенностей следует, что пространство и время должны быть квантовыми. Для того, чтобы найти их значения обратимся к основным константам Мироздания: гравитационной постоянной γ = 6.67  1011 Нм2кг-2, скорости света с =3  108 мс-1 и постоянной Планка ћ = 1.05  1034 Дж  с.

Как показывает теория размерностей, из них можно построить фундаментальную длину:


(13)


называемые планковскими.

Фундаментальная длина и длительность могут претендовать на звание квантов пространства и времени, так как получены с помощью фундаментальных констант Мироздания (у нас просто нет ничего более фундаментального, чем они!). Что же касается планковской массы, то она получилась неожиданно большой, в 8 1019 раз больше массы протона. Это масса частицы, которая может выскочить из вакуума на интервал времени t,

.


(4)


Планковская масса  это максимально возможная частица, которую может родить вакуум в клеточке пространства с линейным размером ln за квант времени tn. Большинство физиков принимают во внимание именно такой механизм формирования Вселенной. Но если это так, тогда в ней должно быть не более n = 81019 нуклонов (протонов и нейтронов). Однако современная астрономическая оценка этой величины говорит о том, что в наблюдаемой части Вселенной содержится не менее 1080 нуклонов, то есть: либо нарушается закон сохранения энергии, чего никогда до сих пор не случалось и, уверен, не случится, либо рождение материи никак не связано с одноразовым большим взрывом.

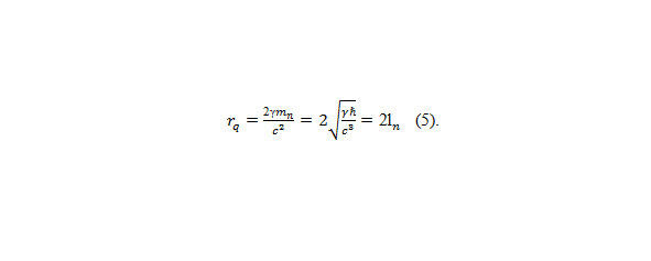
На самом деле такая гиперчастица оказывается частью черной дыры, так как для нее (дыры) гравитационный радиус (rq) равен:


.


(5)


Тогда материя должна была родиться из черной дыры на ее нулевом радиусе (r0), а затем закономерно эволюционировать согласно предлагаемой гипотезе.

В момент рождения планковской массы начался отсчет линейного расстояния от 0 до размера ln за квант времени tn. С этого момента расстояние и время внутри системы должны только расти. Планковская положительная масса, согласно закону сохранения энергии, может родиться только в результате «торможения» поля, несущего эту энергию

Ваша оценка очень важна

0
Шрифт
Фон

Помогите Вашим друзьям узнать о библиотеке

Скачать книгу

Если нет возможности читать онлайн, скачайте книгу файлом для электронной книжки и читайте офлайн.

fb2.zip txt txt.zip rtf.zip a4.pdf a6.pdf mobi.prc epub ios.epub fb3