Коллектив авторов - Творчество: наука, искусство, жизнь. Материалы Всероссийской научной конференции, посвященной 95-летию со дня рождения Я. А. Пономарева, ИП РАН, 24-25 сентября 2015 г. стр 32.

Шрифт
Фон

При решении испытуемые высказывали любое свои гипотезы по поводу решения вслух и их предположения записывались на диктофон. Каждый испытуемый решил каждую из 4 задач с разными видами прайминга. Эксперимент проводился на 36 испытуемых (без пересекания с группой первого этапа исследования). После решения каждой задачи испытуемый заполнял опросник на определение инсайтности задачи (Ellis, Glaholt, Reingold, 2011).

Гипотезы:


1. Решение задач с верно настраивающим праймингом будет быстрее, чем решение задач с неверно настраивающим и нейтральным праймингом. Задачи будут восприниматься как более инсайтные, если они решаются после отвлекающего прайма и наоборот.

2. Решение задач подтипа затрудняющих амбивалентно будет быстрее в условиях положительного прайминга, поскольку значение ключевого момента неравновесно и может быть легко сдвинуто, негативный же прайминг будет более существенно осложнять решение амбивалентных задач по той же причине. Оценка инсайтности ожидается более высокой для задач, однозначно затрудняющих.

Результаты исследования

В результате статистической обработки полученных данных не выявлено ни одного значимого эффекта, что может говорить о неверно выбранном способе предъявления прайминга, конструирования текстов или о выборе не уравненных иным не учитываемым нами признакам задач.

Первая гипотеза близка к подтверждению: задания с положительным праймингом решаются быстрее на уровне тенденции. По результатам исследования решение задач с условиями, затрудняющими однозначно, в целом требует меньше времени, чем решение тех задач, условие которых затрудняется амбивалентно, но негативный прайминг увеличивает время решения именно однозначной задачи, что расходится с нашей второй гипотезой.

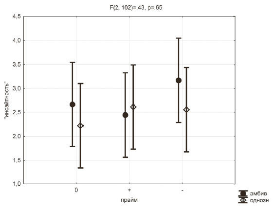
Что касается оценки инсайтности мы также не получили выраженного результата (F(1, 70)=0,61, p=0,44) (результат между условиями отвлекающего и подсказывающего праймов). Степень однозначности ключевого момента на оценке она не сказалась вовсе.


Рис. 1. Влияние однозначности и типа прайма


Рис. 2. Влияние однозначности и типа прайма на время решения на оценку «инсайтности»


Анализ результатов

Несмотря на то, что затрудняющие однозначно задачи сами по себе настраивают решающего на неверное решение, часто задача даже не воспринималась как задача, ответ давался сразу после прочтения условий. Возможно, на быстрое решение задач повлиял выраженный прагматический компонент, содержащийся в условии задач. Он отражает социальные условия и особенности среды, в которой функционирует человек. С другой стороны, семантические пространства ключевых слов для решения задач могут содержать разные элементы, помогающие или затрудняющие нахождение решения.

Нами были проанализированы понятия, ключевые по нашему мнению для решения задач. С помощью лингвистического онлайн-тезауруса РуТез мы проанализировали отношения в семантических пространствах этих понятий.

В семантических пространствах ключевых слов для решения затрудняющих однозначно задач очень близки понятия, отражающие суть решения. К примеру, решением одной задачи было понять, что поверхность озера покрыта льдом. Анализ понятия «поверхностные воды» позволил выяснить, что понятие «ледник» является его ассоциацией. Ассоциация понятия в контексте РуТез подразумевает близкую связь, онтологическую зависимость, следовательно невозможность одного понятия существовать без другого в субъективном семантическом пространстве. Испытуемым требовалось мало времени, чтобы пройти путь от ключевого понятия задачи к связанному с ним ведущему к решению понятию задача решалась быстро. И верный, и неверный прайминг находятся вблизи к ключевому слову и испытуемому не требуется много времени для нахождения решения. Нейтральный прайминг в задачах такого типа замедлял решение, возможно, из-за того, что испытуемым требовалось время выделить главное понятие для решения в тексте задачи для его анализа.

В семантических пространствах ключевых понятий решений задач с условиями, затрудняющими амбивалентно, нет понятий, ведущих к правильному решению. Понятия отождествляются с иными, затрудняя ход решения. Найти конструкт, который послужит подсказкой для решения задачи можно только перейдя к другим смежным семантическим пространствам, что требует временных затрат.

Ваша оценка очень важна

0
Шрифт
Фон

Помогите Вашим друзьям узнать о библиотеке

Скачать книгу

Если нет возможности читать онлайн, скачайте книгу файлом для электронной книжки и читайте офлайн.

fb2.zip txt txt.zip rtf.zip a4.pdf a6.pdf mobi.prc epub ios.epub fb3