Ибратжон Хатамович Алиев - Все науки. 1, 2022. Международный научный журнал стр 8.

Книгу можно купить на ЛитРес.
Всего за 112 руб. Купить полную версию
Шрифт
Фон

Арипова Сайёра Боходировна, преподавательница общеобразовательной школы 1


Общеобразовательная школа 1, Фергана, Узбекистан


E-mail: karimov.1949@internet.ru

Аннотация. С древних времён люди использовали систему счёта для решения жизненных задач различного типа и характеристик, в результате чего приходилось сталкиваться с понятием действительных-натуральных чисел, а после работы с задачами, связанными с площадями, приходилось сталкиваться и с задачами, связанными с дробными числами, входя уже в рациональное множество чисел.

Ключевые слова: ингенциальные числа, ингенциальная математика, релятивистская физика, множества чисел, бесконечность.

Annotation. Since ancient times, people have used the counting system to solve life problems of various types and characteristics, as a result of which they had to deal with the concept of real-natural numbers, and after working with tasks related to squares, they had to deal with tasks related to fractional numbers, already entering the rational set of numbers.

Keywords: inertial numbers, intentional mathematics, relativistic physics, sets of numbers, infinity.


А когда уже пришлось войти в задачи связанные с описанием окружности пришлось столкнуться с первым иррациональным числом, после чего их количество начало увеличиваться и возрастать, создавая уже множество иррациональных чисел. Казалось, бы эти действительные числа, наряду с отрицательными, которые также вошли в науку, составляют полноценное множество действительных чисел, вполне достаточное для описания внешнего мира. Какого же было удивление, когда пришлось столкнуться с решением уравнений 3 степени, которые сегодня известны как уравнения, нашедшие решение методом Кардано. Примечательным было то, что при решении этих уравнений приходилось сталкиваться со случаем наличия комплексной единицы или точнее комплексных чисел  отрицательных чисел, находящихся под радикалом.

И хотя такой вид чисел довольно долго не приживался, но обнаружение подобного вида чисел в самых фундаментальных процессах сегодняшнего мира, а именно как одно из решений уравнений Шрёдингера  уравнений, описывающих любой микрообъект просто заставило принять этот новый вид чисел и продвигаться дальше, исследуя самые различные операции, связанные с комплексными числами и их производными.

Таким образом было открыто новое множество, в которое входят все вышеперечисленные множества, то есть натурное, рациональное, иррациональное и действительные множества, такое множество и было названо комплексным.

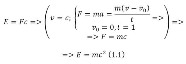
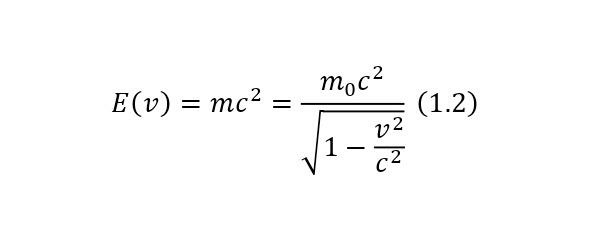
Следовательно, чтобы прийти к явным математическим парадоксам и удивительным явлениям, необходимо исходить из физического явления, который ранее ещё некогда был опубликован в 1905 году в статье Альберта Эйнштейна «К электродинамике движущихся тел», которая также была основана на преобразовании Х. Лоренца, работ Дж. Лармора, Анри Пуанкаре и других. Изначально, достаточно воспользоваться знаменитым выводом (1.1), который выходит к (1.2).




Это равенство несёт глубокий физический смысл, но если рассматривать его как функцию, то можно рассмотреть 3 случая:

1. Если скорость тела меньше скорости света;

2. Если скорость тела равна скорости света;

3. Если скорости тела больше скорости света.

Таким образом из этих 3 случаев получаются 4 вида чисел. Первый из них  действительные числа, а второй  комплексные числа. Далее следуют два неизвестных ранее видов чисел, а именно числа, которые могут делиться на ноль, а также числа, которые больше этого вида чисел.

И конечно, прогресс не стоит на месте и сегодня уже исследованы и открыты различные физические явления, всё ещё ожидающие своего объяснения и математической трактовки. Ярким примером является явление запутанных частиц, то есть это явление, в котором образуются два запутанных лептона, а именно два электрона или фотона, информация о спине которых передаётся после определения или изменения спина одного к другому со скоростью, намного превышающей скорость света  3 случай.

Также сам факт наличия световых волн, также известных в виде корпускул как фотоны, заставляет задуматься о моменте, когда скорость объекта стала бы равной скорости света  2 случай.

И чтобы описать все эти явления, возникла необходимость создания нового раздела математики, известного как «Ингенциальная математика», от латинского ingens  «огромные». В этом случае принимается наличие ингенциальной единицы, то есть дроби единицы на ноль, после чего образуются различные арифметические, алгебраические и иные виды операций, преобразуя как тригонометрические, логарифмические, обратно-тригонометрические и иные функции, так и вводя совершенно новые виды операций.

Ваша оценка очень важна

0
Шрифт
Фон

Помогите Вашим друзьям узнать о библиотеке

Скачать книгу

Если нет возможности читать онлайн, скачайте книгу файлом для электронной книжки и читайте офлайн.

fb2.zip txt txt.zip rtf.zip a4.pdf a6.pdf mobi.prc epub ios.epub fb3