Тожибой Мирзамахмудович Мирзамахмудов - Электроника асослари. Ўқув қўлланма стр 5.

Шрифт
Фон

1.6-расм. Бир жинсли кўндаланг магнит майдонда электроннинг харакати


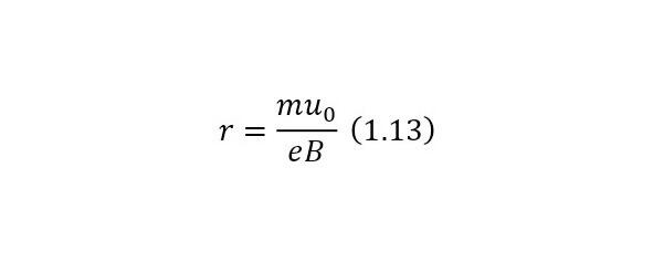
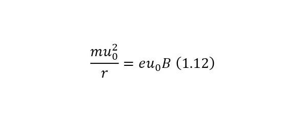
Жисмнинг доимий V0 тезлик билан айлана бўйлаб харакатланиши марказга интилма куч хисобига бўлади.

Электроннинг харакат йўналиши магнит куч чизиғига нисбатан соат стрелкаси йўналиши бўйича бўлади. Электроннинг айлана бўйлаб харакатлангандаги r радусини топайлик.

Бунинг учун марказга интилма кучининг математик ифодасидан фойдаланамиз:



Буни (1.10) даги F билан тенглаштириб:



эканлиги топамиз. Қисқартиришларни бажариб эса ни аниклаймиз:



Электроннинг v0 тезлиги қанча катта бўлса, инерция бўйича тўғри чизиқ бўйлаб хракатланишга интилади ва трокториясининг радиуси шунча катта бўлади.

Магнит индукция В катта бўлганда Лоренц кучи F катта бўлиб, траектория кўпроқ эгилади, радиуси эса камаяди. Юқоридаги чиқарилган ифода ихтиёрий масса ва заряд учун тўғри.

Магнит майдонига ихтиёрий бурчак остида кираётган электроннинг харакатини кўрайлик. Электронниг бошланғич тезлик вектори ва Х ўқи билан В вектор мос келган координата юзасини танлаб олайлик. V0 ни иккита, яъни VX ва Vу ташкил этувчиларга ажратайлик. VX характаланувчи электроннинг йўналиши магнит куч чизиқлари йўналиши билан бир хил бўлганлиги учун унга магнит майдон таъсир қилмайди. Агар электрон фақат шу тезликка эга бўлганда, у тўғри чизиқли текис харакат қилар эди.

Агар электрон фақат Uy тезликка эга бўлса юзада магнит куч чизиқларига тик йўналишда айлана бўйича харакатланади. В, Ux ва Uy катталиклар иштрок этганилиги учун электроннинг натижаловчи харакати мураккаб бўлиб, траекторияси винт чизиқлари ёки спирал бўйича бўлади (1.7-расм). Спирал траекторияси катталикларга кўра торрок ёки кенгроқ бўлади.


1.7-расм. Электронни бир жинсли магнит майдондаги спирал бўйича харакати.


Назорат саволлари.

1. Электронлар бир жинсли электр майдонда кандай харакат килади?

2. Электронлар тезлатувчи электр майдонида кандай харакат килади?

3. Электронларнинг кундаланг бир жинсли майдондаги харакатини тушунтиринг.

4. Электронларни бир жинсли булмаган магнит майдондаги харакатини тушунтиринг.

5. Электронлар бир жинсли магнит майдонида кандай харакат килади?

6. Электронларни бир жинсли кундаланг магнит майдондаги харакати кандай амалга оширилади?

2-БОБ ЯРИМ ЎТКАЗГИЧЛИ АСБОБЛАР

2 бобда ярим ўтказгичли асбоблар ҳосил қилишнинг физик асослари, «n-р»  ўтиш ҳосил қилиш ва улар асосидаги приборлар-ярим ўтказгичли диодлар, транзисторларнинг схемадаги шартли белгиси, ишлатилиш сохаси ҳамда схемалари ёритилган.

2.1. ЯРИМ ЎТКАЗГИЧ АСБОБЛАР ХОСИЛ ҚИЛИШНИНГ ФИЗИК АСОСЛАРИ

Ярим ўтказгичли асбобларнинг ишлаши «электрон» ҳамда «тешикларнинг» харакатланишига асосланган. Ишлаб чиқаришда бу асбоблар содда  германий (Gе), кремний (Si), селен (Se) ёки мураккаб  арсенид галлий (Gа Аs), кремний карбиди (SiC), галлий фосфиди (GaР) ярим ўтказгич материалидан тайёрланади. Уларнинг хаммаси «олмос» турли мунтазам панжара таркибига эга бўлган кристаллдан иборат.

2.1-расмда атомларининг ташқи орбитасида тўрттадан электрони бўлган тоза германийнинг ясси эквивалент панжараси келтирилган. Электрон турғун холатда бўлиши учун, қўшни тўртта атом билан ковалент яъни қўш боғланади хамда валент электронлар бу боғланишда иштирок этади.


2.1-расм. Германийнинг кристалл панжараси.


Квант механикаси қонунларига, асосан, хар бир валент боғланган электрон учун маoлум бир энергия сатхи тўғри келади. Уларнинг тўплами «валент» (V  зона) зонани ташкил этади.

Электрондан холи бўлган энергетик сатхлар эркин зонани ташкил этади, улар «ўтказувчанлик» (С  зона) зонаси дейилади. Бу икки зона оралиғида учинчи, «тақиқланган» зона жойлашган. Идеал қаттиқ, кристалли жисмларда электронлар бундай энергияга эга эмас. Бундай холат абсолют нол харарот учун тўғри бўлади. Стабил холатни бузувчи ташқи факторлар: иссиклик, харорат, ёруғлик нури, электромагнит майдон ва бошқалар хисобланади. Уларнинг таъсири натижасида валент электронлар ядро билан боғланишни ўзиш учун етарли бўлган қўшимча энергия олиши мумкин. Бунинг учун зарур бўлган минимал энергия модданинг тақиқланган зонаси кенглиги (DW) билан аниқланади. 2.2 расмда ўтказгичлар, ярим ўтказгичлар ва диэлектрикларнинг энергетик зона диаграммалари келтирилган. Уй харакатида металларда тақиқланган зона нолга яқин, диэлектрик материалларда 37 ЭВ (олмос) ва ярим ўтказгичларда эса 0,5  2,5 ЭВ (германий DW = 0,66 ЭВ, кремний DW = 1,14 ЭВ) ни ташкил этади. Ковалент боғланишдан чиқиб кетган электрон эркин бўлиб қолади ва у кристалл бўйича тартибсиз харакатланади.

Ваша оценка очень важна

0
Шрифт
Фон

Помогите Вашим друзьям узнать о библиотеке

Скачать книгу

Если нет возможности читать онлайн, скачайте книгу файлом для электронной книжки и читайте офлайн.

fb2.zip txt txt.zip rtf.zip a4.pdf a6.pdf mobi.prc epub ios.epub fb3