Тожибой Мирзамахмудович Мирзамахмудов - Электроника асослари. Ўқув қўлланма стр 3.

Шрифт
Фон

Электрониканинг эришилган ютуқлари унинг чексиз имконидан фойдаланишнинг бошланғич қадами холос. Келажакда ташқи таъсир шароитини ўзгаришга адектив реакция берувчи, сунoий интелектга эга бўлган ва сенсор система асосида жихозланган роботлар билан таoминлаш масаласи қўйилган.

Инсон фаолиятининг хар-хил сохасида электрониканинг қўлланиши узлуксиз кенгаймоқда, чуқурлашмоқда ва дифференциаллашиб бормоқда.

Хозирги замон электроникаси фан ва техникада олдинги ўринни эгаллаб, илмий-техниканинг ривожлантиришда катта ахамиятга эга.

1-БОБ. МАЙДОНДА ЭЛЕКТРОНЛАР ХАРАКАТИ

1 боб электронларнинг бир жинсли, бир жинсли бўлмаган электр майдондаги харакати ва бир жинсли бўлмаган магнит майдоннидаги харакатлари кўриб ўтилган.

1.1. ЭЛЕКТРОНЛАРНИНГ БИР ЖИНСЛИ ЭЛЕКТР МАЙДОНДАГИ ХАРАКАТИ

Электрон асбобларда электронларни электр майдони таъсирида харакатланиши асосий жараёнлардан хисобланади. Электронларни вакуумда харакатланиши оддий ҳамда ярим ўтказгич ёки газ разрядли асбобларида харакатланиши эса мураккаб жараён бўлади.

Бир жинсли электр майдонида электрон харакатини бошқа электронлар билан таъсири йўқ деб караш керак. Хақиқатда эса электронлар орасида ўзаро итаришиш кучи ҳам мавжуд. Электр майдони кўп холларда бир жинсли бўлмасдан мураккаб характерга эга ва у электрониканинг асосларидан бирини ташкил этади.

Маълумки, электрон заряди е=1,6*1019 Клга тенг бўлиб, массаси m=9,1*1031 кг. Назарий хисоблашлардан электрон тезлиги с=299 792 458 м/с бўлганда, массаси чексиз ортади.

Оддий электровакуум асбобларида электроннинг тезлиги 0,1 м/с ни ташкил этади, массасини эса доимий деб хисоблаш мумкин.

Электроннинг тезланувчи электр майдонидаги харакат

Икки электрод анод ва катод орасидаги электр майдон куч чизиқларини (кучланганлик чизиқлари) 1.1-расмда кўрсатилганидек тасвирлайлик.

Агар электродлар орасидаги потенциаллар айирмаси U, улар орасидаги масофани d десак, майдон кучланганлигини, деб ёзиш мумкин:



Бир жинсли майдон учун Е ўзгармас катталик. Катоддан чиққан электрон кинетик энергия W0 ва бошланғич тезлик v0 бўлган тезланувчан электр майдонига кирсин.


1.1-расм. Электроннинг тезлатувчи электр майдонидаги харакати


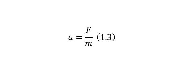
Майдон кучланганлиги мусбат бирлик зарядга таъсир этувчи кучга тенг бўлади. Шунинг учун битта электронга таъсир этувчи куч бўлади:



F куч E вектор катталигига қарама-қарши йўналгани учун минус ишораси қўйилган.

F куч таъсирида электрон тезланиш олади ва унинг ифодаси куйидагича бўлади:



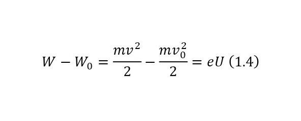
Электрод томон харакатланаётган электрон харакат охирида энг катта v тезлик ва W кинетик энергияга эришади. Шундай қилиб, тезлатувчи майдонда электроннинг кинетик энергияси ортади. Бу энергия ортишини WW0 сифатида кўрсатиш мумкин. Энергиянинг сақланиш қонунига асосан қуйидагини ёзиш мумкин.



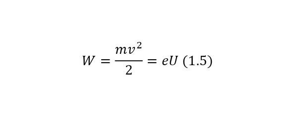
Агар электронни бошланғич тезлиги нолга тенг бўлса, бўлади:



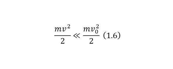
Элекроннинг бошланғич тезлиги v0 <<v бўлганда, қуйидаги тенглама бўйича аниқланади:



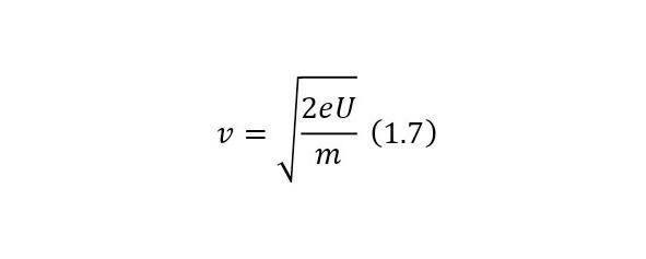
Агар U=1 Вольт десак электрон энергияси бир бирлик энергияга тенг булиб, у электрон  Вольт (эВ) деб аталади. Юқоридаги ифода (1.4) дан



e ва m ларни ўрнига қўйиб



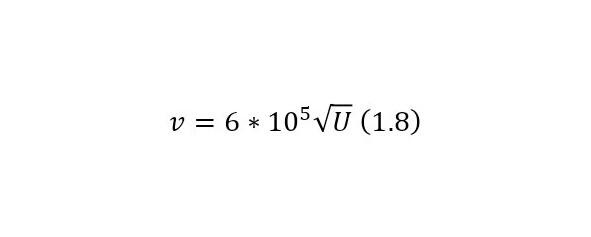
дан электороннинг тезлигини топиш мумкин.

Шундай қилиб тезлатувчи майдонда электроннинг харакати потенциаллар фарқига боғлик экан. Электроннинг бошлангич энергиясини элеткрон  Вольтда қуйидагича



ёзиш мумкин. Потенцаиллар айирмаси U=1 Вольтда, тезлиги v=6*105 м/с ва U=100 Вольт бўлганда эса v=6*106 м/с бўлади.

Электроннинг электродлар орасида масофа d=3*103 м ва кучланиши 100 Вольт бўлганда учиш вақти 108 с ни ташкил қилади.

Электр майдони бир жинсли бўлмагани учун электроннинг харакати мураккаб бўлиб амалда бу вақт t=108  1010 C га тенг.

Электорни секинлаштирувчи майдондаги харакати

Айтайлик электороннинг v0 бошлангич тезлиги F кучга тескари йўналишда бўлсин (1.2-расм). F куч электоронни v0 тезлигига тескари йўналишда бўлгани учун унинг харакати текис секинланувчан бўлади. Бундай майдонга секинлаштирувчи майдон дейилади. Ишни электрон бажаргани учун секинлаштирувчи майдонда электроннинг энергияси камаяди. Шундай килиб, секинлаштирувчи майдонда электрон ўз энергиясини майдонга беради.

Ваша оценка очень важна

0
Шрифт
Фон

Помогите Вашим друзьям узнать о библиотеке

Скачать книгу

Если нет возможности читать онлайн, скачайте книгу файлом для электронной книжки и читайте офлайн.

fb2.zip txt txt.zip rtf.zip a4.pdf a6.pdf mobi.prc epub ios.epub fb3