Крис Уоринг - Формулы на все случаи жизни. Как математика помогает выходить из сложных ситуаций стр 2.

Шрифт
Фон

Порядок действий

Всякий раз, когда вы видите выражение, требующее вычислений  или операций, как это называют математики,  вам нужно определить последовательность шагов. В отличие от письма или чтения, где мы движемся слева направо, в математике необходимо следовать определенному порядку.

Вычисления следует производить согласно аббревиатуре BIDMAS[1]:

Скобки

Возведение в степень

Деление

Умножение

Сложение

Вычитание

Например, выражение 5  3 + (2 × 8) ÷ 42 содержит все шесть действий. Итак, начнем со скобок. Мы видим, что 2 × 8 = 16, и наш пример становится таким:

5  3 + 16 ÷ 42.

Далее по плану возведение в степень («в степени n» означает «в n раз больше»). Такую степень мы видим над числом 4. 42  это число 4, умноженное само на себя. Поскольку 4 × 4 = 16, мы получаем:

5  3 + 16 ÷ 16.

Затем идет деление: 16 ÷ 16 = 1. Теперь наше выражение принимает вид:

5  3 + 1.

Сложение 3 и 1 дает нам 2:

5  2.

У нас на руках остается простое вычитание:

5  2 = 3.

Сокращение дробей

Эквивалентность дробей  важное понятие: это означает, что дроби, пусть и записанные по-разному, могут соответствовать одному и тому же числу. Например, как мы знаем, одна вторая  то же самое, что и две четверти:



Дроби принято оставлять в несократимом виде, то есть использовать наименьший возможный знаменатель (число под чертой) при целом числителе (число над чертой). Будь нам неизвестно, что две четверти эквивалентны половине, мы могли бы сократить дробь, найдя число, которому кратны и числитель, и знаменатель. Для двух четвертей оно будет равно двум, так как на него делятся и 2, и 4. Поделив оба числа на 2, мы сократим дробь, но ее значение останется таким же.

Если бы у нас было восемь двенадцатых, мы могли бы разделить числитель и знаменатель на 2 или на 4. Чтобы полностью сократить дробь, используем наибольший общий делитель:



Нет такого числа, которому были бы кратны 2 и 3, значит, наша работа завершена.

Степени и корни

Пример возведения в степень мы видели в подразделе «Порядок действий». Степень показывает, сколько раз число следует умножить само на себя. Так, вместо 35 мы могли бы написать 3 × 3 × 3 × 3 × 3. Истинное значение 35 составляет 243  а это, согласитесь, совсем не то же самое, что 3 × 5 = 15 (при возведении в степень такую ошибку допускают очень часто).

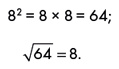
Извлечение корня  операция, обратная возведению в степень. Лучше всего мы знакомы с квадратными корнями, обозначающими действие, противоположное  или обратное, как выражаются математики,  возведению в квадрат (однократное умножение числа на себя). Например:



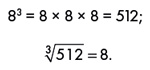
Возведя 8 в квадрат, мы извлекаем из полученного числа квадратный корень и возвращаемся к тому, с чего начали. А дальше мы можем возводить число в любую степень, которая будет отлична от второй, и точно так же извлекать любой корень, отличный от квадратного: например, вычислить значение третьей степени числа 8 и извлечь из полученного кубический корень:


Решение уравнений

Строго говоря, уравнение  это задача с неизвестным. Сумеете ли вы найти неизвестное, если я скажу, что, умножив его на 4 и прибавив 3, мы получим 13? Алгебра позволяет записать задачу в кратком виде. Заменим загаданное число буквой y  переменной, и мой вопрос станет выглядеть так:

4 × y + 3 = 13.

Чтобы еще больше упростить запись и заодно избежать путаницы между знаком умножения и буквой x, сократим 4 × y до 4y:

4y + 3 = 13.

Чтобы определить неизвестное число, то есть найти решение, или корень уравнения, начинаем с правой части выражения (суммы) и производим действия в обратном порядке. Из числа 13 вычитаем 3, а полученную разность делим на 4:

y = (13  3) ÷ 4.

Обратите внимание: наша первая операция  вычитание  заключена в скобки. Не будь их, нам пришлось бы, согласно установленному порядку действий, начинать с деления. Итак:

y = (13  3) ÷ 4;

y = 10 ÷ 4;

y = 2,5.

Уравнение решено! Имейте в виду, что есть и альтернатива: разбивать обратные операции на несколько этапов. Такой подход пригодится, если неизвестное встречается несколько раз:

3a + 6 = 7а  2.

Например, если мы увеличим обе части уравнения на 2, то в правой избавимся от 2. Задача примет следующий вид:

Ваша оценка очень важна

0
Шрифт
Фон

Помогите Вашим друзьям узнать о библиотеке

Скачать книгу

Если нет возможности читать онлайн, скачайте книгу файлом для электронной книжки и читайте офлайн.

fb2.zip txt txt.zip rtf.zip a4.pdf a6.pdf mobi.prc epub fb3