Дэвид Самптер - Десять уравнений, которые правят миром. И как их можете использовать вы стр 7.

Шрифт
Фон

И Бенхэм, и Блум сумели использовать незначительное преимущество и с помощью больших данных получили колоссальные прибыли.

* * *

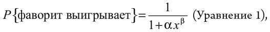
Преимущество, которое я предложил Яну и Мариусу для вероятности победы их фаворита в каком-нибудь матче чемпионата мира, основано на следующем уравнении:



где x  коэффициент букмекера на победу фаворита. Коэффициент здесь понимается в британском формате: если он составляет 3 к 2 или x = 3/2, это означает, что на каждые поставленные 2 фунта в случае победы чистый выигрыш составляет 3 фунта.

Разберемся, о чем на самом деле говорит уравнение 1. Начнем с левой стороны, где я написал: «P{фаворит выигрывает}». Ни одна математическая модель не предсказывает победу или поражение с абсолютной точностью. Они говорят о вероятности того, что выиграет фаворит, и эта вероятность  число от 0 до 100 %. Оно определяет уровень уверенности, который я приписываю результату.

Эта вероятность зависит от того, что написано в правой части уравнения, куда входят три буквы: латинская x и греческие α и β. Одна студентка сказала мне, что математика казалась ей понятной, пока речь шла о латинских иксах и игреках, но стала трудной, когда начались греческие альфы и беты. Для математиков это звучит смешно, потому что x, α и β  только символы, они не делают науку проще или сложнее, так что я думаю, что студентка всего лишь шутила. Но она попала в точку: когда в уравнениях встречаются α и β, математика обычно сложнее.

Так что давайте начнем без них. Уравнение



понять гораздо проще. Если, скажем, коэффициент был 3/2 (2,5 в европейской системе или +150 в американской)[8], вероятность того, что фаворит выиграет, равна



По сути, это уравнение без α и β дает нам оценку букмекера для победы фаворита. Он считает, что шансы фаворита на победу в матче составляют 2/5, или 40 %. В остальных 60 % случаев будет ничья или победит аутсайдер.

Без α и β (точнее, при α = 1 и β = 1) мое уравнение ставок относительно несложно понять. Однако без α и β оно не принесет денег. Почему? Поставим 1 фунт на фаворита. Если коэффициент букмекера верен, два раза из пяти вы выиграете 1,5 фунта, а три из пяти проиграете по 1 фунту. Поэтому в среднем вы выиграете



Иными словами: после нескольких ставок вы почти ничего не выиграете. Нуль. Пшик. На деле всё еще хуже. Для начала я предположил, что коэффициенты букмекеров справедливы[9]. На самом деле нет. Букмекеры всегда подправляют их, чтобы ситуация складывалась в их пользу. И вместо того, чтобы предложить 3/2, заявят, скажем, 7/5. И если вы не знаете, что делаете, букмекеры всегда выиграют, а вы проиграете. При коэффициенте 7/5 вы будете в среднем проигрывать 4 пенса на ставку в 1 фунт[10].

Единственный способ обыграть букмекеров  рассмотреть эти числа, и именно такие данные компьютер Яна собирал после того, как мы посидели в пабе. Он скачал коэффициенты и результаты для всех матчей чемпионатов мира и Европы, включая отборочные игры, начиная с чемпионата мира в Германии в 2006 году. Утром, усевшись в моем офисе в университете, мы начали искать преимущество.

Сначала мы загрузили данные и посмотрели на них в таблице, подобной нижеприведенной.



Из таких прошлых результатов мы можем получить представление о том, насколько точны коэффициенты: для этого надо сравнить два последних столбца вышеприведенной таблицы. Например, в матче между Испанией и Австралией на чемпионате мира 2014 года коэффициенты дают вероятность 73 %, что Испания выиграет, и она действительно победила. Это можно считать «хорошим» прогнозом. А вот Коста-Рика обыграла Италию, хотя коэффициенты давали 63 % на победу итальянцев,  «плохой» прогноз.

Я пишу слова «хороший» и «плохой» в кавычках, поскольку нельзя сказать, хорош или плох прогноз, если нет альтернативы, с которой его можно сравнить. Вот здесь и появляются α и β. Их называют параметрами уравнения 1. Это величины, которые мы можем менять для тонкой настройки нашего уравнения, чтобы сделать его точнее. Мы не можем изменить итоговые коэффициенты для матча Испания  Австралия и определенно неспособны повлиять на результат этого матча сборных; но можем выбрать α и β так, чтобы получить более точный прогноз, чем у букмекеров.

Ваша оценка очень важна

0
Шрифт
Фон

Помогите Вашим друзьям узнать о библиотеке

Скачать книгу

Если нет возможности читать онлайн, скачайте книгу файлом для электронной книжки и читайте офлайн.

fb2.zip txt txt.zip rtf.zip a4.pdf a6.pdf mobi.prc epub fb3