Валерий Абдуллович Асадов - Физика (Третья) 21 века. Том 1 стр 7.

Книгу можно купить на ЛитРес.
Всего за 51.9 руб. Купить полную версию
Шрифт
Фон

1 Левое, не равносильно правому.

2. Одна и та же сила, направленная в разные стороны (направления) не одинакова.

3. Одна и та же сила, направленная в спирали разного направления (вида) не одинакова.

4. Время, измеренное в разное время не тождественны (не одинаково).

5. Законы Абсурда и Баланса и их действие, подробны, изложены в книги «Женщины и законы Абсурда», и частично закон «закон золотого сечения».

6. Основные виды законов и формул предметов и наук.

Это те законы, которые находятся физики, математики, химии и других науках. Эти виды законов, являются основными в данной области науки. Эти законы должны быть очень простыми по своей структуре, форме и виду, а не основные законы должны быть сложными по своей структуре и форме. Так выглядят частные эффекты, явления и законы. В этом и их основное отличие.

7. Есть частные законы, явления, и эффекты которые существуют в очень ограниченных условиях.

В.4. Теория большого взрыва

Да, Вселенная произошла всего из одной частицы: Айперон, массой 1.5*10^-5 грамм. Но большого взрыва как такого не было, просто до одной секунды, это временная грань двух физик. После одной секунды эта наша физика, а до одной секунды это была другая физика, где эта частица Айперон начала себя сама клонировать, просто эта была другая физика, где действовали другие физические законы. И в большой вселенной также действуют другая физика, там все другое и все по другому. Это можно сказать большой океан (выглядит приблизительно как густой кисель) жидкости в которой плавают другие Вселенные (соседние вселенные) в которые попасть нельзя (пока) и плавают зачатки, зародыши (яйца) будущих вселенных. А масса (кисель из большой вселенной) в нашу Вселенную заходит через ядра (черно-белые дыры) в галактиках, и там перерабатывается в нужную нам материю. Переработку материи в ядрах галактик осуществляют строители, которые и есть Демиурги, но они не являются Богами, они простые рабочие Господа Нашего, и работают по претворению в жизнь его планов строительства даной Вселенной, которая и осуществляется непосредственно Великими Сестрами Мойр. Младшая сестра Мойр, это и есть Матрица. Ее зовут Морица.

1. Новая динамическая временная физика. Ее формулы и расчеты

Хорошую информацию трудно добыть. Сделать с ней что-нибудь  еще труднее.

Р. Асприн

В динамической временной физике существуют черные дыры трех видов:

1 вид.Большая Вселенная, а также соседние Вселенные, которые находятся в Большой Вселенной. Параллельные Вселенные это, как матрешки, одна в одной, но есть одна коренная Вселенная, а остальные параллельные клонируются по коренной. Параллельные миры  это ограниченная область Вселенной, образованная разветвлением событий во времени (с отставанием по времени на 1 сек от основной области), от коренной области. Эта область ограниченная звездной системой (например Солнечная).

2 вид.Черные дыры звездных размеров, получаемые из бывших звезд.

3 вид.Элементарные частицы: апейрон, планкеон, протон, электрон. Нейтронов и остальных частицы: лептоны, мезоны, барионы  это возбужденные частицы. Кроме фотона и нейтрино (двух видов).

В НДВФ, вместо преобразований Лоренца, используется Викториальное преобразование, связывающее время, пространство и материю вместе в единое целое и неделимое.

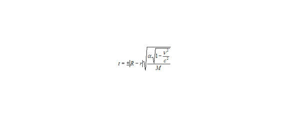
По этой формуле видно, как происходит разделение времени. Если взять большое и массивное тело, например, Землю, то чем ближе к центру Земли, тем медленней течет время, на три порядка. На глубине от поверхности 1670 км время 0,75 сек, на глубине 3188 км 0,5 сек, а на глубине 5733 км 0,1 сек. Таким образом, когда на глубине 3188 км пройдет 1 сек, то на поверхности пройдет уже 2 сек. А когда на глубине 5733 пройдет 1 сек, то на поверхности пройдет уже 10 сек. Также, в Н. Д. В.Ф говорится о том, что протон изменяет свою массу с течением времени по формуле


Рис.4. Формула 1. Викториальная постоянная.


Рис. 5. Формула 2. Временное соотношение.


По этой же формуле можно рассчитать возраст Вселенной, и, наоборот, по заданному времени Вселенной узнать, какая масса протона была в то время.

Ваша оценка очень важна

0
Шрифт
Фон

Помогите Вашим друзьям узнать о библиотеке

Скачать книгу

Если нет возможности читать онлайн, скачайте книгу файлом для электронной книжки и читайте офлайн.

fb2.zip txt txt.zip rtf.zip a4.pdf a6.pdf mobi.prc epub ios.epub fb3