Евгений Куранов - Управление репутацией: пошаговое руководство стр 12.

Книгу можно купить на ЛитРес.
Всего за 490 руб. Купить полную версию
Шрифт
Фон

Метрики:

Динамика публикаций.

Охват.

Индекс заметности.

Релевантность и контекст тематик новостей о компании.

Цель 5: Отстроиться от конкурентов

Эта цель похожа на первую  о формировании имиджа в глазах стейкхолдеров. Надо определить целевую аудиторию, понять, в чём ваши конкурентные преимущества, определить набор каналов, через которые вы будете их транслировать, и набор инструментов: интервью, колонки, статьи и т. д.

Метрики (измеряются в сравнении с конкурентами):

Количество сообщений, где компания играет главную роль.

Индекс заметности.

Охват.

Упоминания в нужном контексте.

Индекс прямой речи.

Цель 6: Маркетологу или пиарщику получить премию

Самый спорный, но порой востребованный запрос. Чтобы получить премию, не всегда достаточно иметь высокий охват, нужно выполнять поручения руководства. Например, ваш шеф мечтает попасть на страницы Forbes/ Harvard Business Review/ еженедельника «Охота и рыбалка». Публикация в Forbes может быть менее эффективной, чем 20 комментариев в популярных отраслевых СМИ, но поручение есть поручение.

Метрика: После работы со СМИ нужно отследить появление статьи. Для этого настраиваем мониторинг по ключевым словам.

Считаем убытки от негатива в интернете

Среди всех методов оценки репутации стоит отдельно выделить оценку стоимости негативных публикаций. Как правило, негатив в интернете  это недополученная прибыль для бизнеса. В особо серьёзных случаях она может исчисляться миллионами, если вовремя не принять меры и не погасить скандал в самом начале. Не стоит недооценивать или переоценивать негатив  нужно конвертировать его в рубли. Одно можно сказать точно  если на первой позиции стоит негатив о вас и вашей фирме, то вы определённо теряете выручку и клиентов.

Важный негатив от малозначительного различается по количеству трафика, проходящего через него. Поэтому обязательно оценивайте охват негатива. Когда вы видите негатив о вашей компании, вас должен волновать не смысл написанного, а потенциальный охват. Задайте себе вопросы:

Сколько человек в день видят это?
Сколько человек будут видеть это через месяц?

Бывает так, что автор создал одну негативную площадку с одним негативным постом. Пиарщик годами пытается его удалить, потому что владелец компании помнит об этом негативе, про который все давно забыли. Научитесь холодно оценивать негатив. Конечно, неприятно, когда пишут гадости, но в первую очередь думайте о том, сколько денег из-за негатива вы теряете.

Посчитать репутационные потери от конкретного негатива в топ-10 вполне реально, пусть и с погрешностью 20%. Точность будет зависеть от используемых методик анализа.


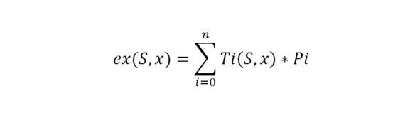
Методика 1. Индекс репутации компании в поисковых системах  Ex

Позволяет посмотреть на изменение репутации в динамике, то есть после запуска и во время реализации SERM-кампании. Ex может иметь значение от минус 100% до плюс 100%, с его помощью можно определить, какое впечатление о бренде получит случайный пользователь, столкнувшийся с вашей организацией в сети.

Как рассчитывается индекс

В первую очередь необходимо провести мониторинг упоминаний в наиболее популярных в России поисковых системах  Яндекс, Google и Mail.ru. Введите в поисковую строку каждого поисковика запросы «услуга + отзывы», «название бренда + отзывы» и другие ключевые запросы из сформированного ранее списка брендовых запросов. Справа от выдачи в Яндексе вы увидите количество запросов ваших потенциальных клиентов. Например:

Нашлось 9 млн результатов

48 тыс. показов в месяц

По результатам опроса поисковиков составьте таблицу тональности результатов поисковой выдачи:



Формула расчёта тональности страницы:

T = (r+  r-) /r*100%

Далее определяется индекс репутации Ex поискового запроса «x» для каждой поисковой системы:



P  вероятность перехода пользователя по результату в поисковой выдаче. Значение зависит от места в топе (см. таблицу).


Вероятность перехода для позиций в топ-10 Яндекса7


Затем по первой нижеприведённой формуле подсчитайте индекс для каждой поисковой системы. По второй формуле определите индекс в целом для всех поисковиков:

Ваша оценка очень важна

0
Шрифт
Фон

Помогите Вашим друзьям узнать о библиотеке

Скачать книгу

Если нет возможности читать онлайн, скачайте книгу файлом для электронной книжки и читайте офлайн.

fb2.zip txt txt.zip rtf.zip a4.pdf a6.pdf mobi.prc epub ios.epub fb3