Герман Иванович Ефремов - Макрокинетика сушки стр 10.

Шрифт
Фон

Исходной предпосылкой теории подобия служит то, что подобные явления описываются одинаковыми уравнениями. Выше были рассмотрены общие уравнения переноса массы, тепла и количества движения. На практике приходится иметь дело с конкретными объектами моделирования и поэтому необходимо сформулировать условия, выделяющие рассматриваемое явление из общего класса явлений (условия однозначности). К ним относятся геометрическая форма и размеры системы (трубы, аппарата и т. д.), физические свойства ее (плотность, вязкость среды и др.), начальные условия (начальная скорость, температура и т. д.) и граничные условия, характеризующие свойства системы на ее границах.

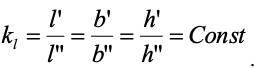
Соотношения между сходственными величинами образца и модели называются константами (масштабами) подобия. Так для геометрического подобия подобия геометрических размеров образца (l длина, b ширина, h высота) и соответствующих размеров модели l, b, h получим константу геометрического подобия



Из этого выражения можно записать инварианты (симплексы) подобия, записав отношения параметров для образца и для модели, например:



Для подобия физических величин имеем константы подобия, например для кинематической вязкости и плотности:



При моделировании процессов, связанных с изменением свойств системы во времени (нестационарных) должно соблюдаться временное подобие, тогда константа временного подобия:



Константы кинетического подобия включают отношение скоростей u и ускорений a в сходственных точках объекта и модели:



Следует отметить, что подобие кинетическое (подобие планов скоростей и ускорений) может иметь место только при наличии подобия геометрического.

Динамическое подобие описывается соотношениями сходственных сил, энергий и масс для модели и объекта, причем динамическое подобие может иметь место только при наличии подобия геометрического и кинетического.

1.11 Подобное преобразование дифференциальных уравнений переноса

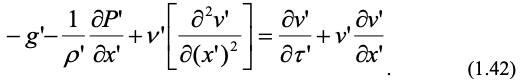
Перенос количества движения. Рассмотрим динамическое подобие на примере подобного преобразования уравнения Навье-Стокса (1.10) для одномерного потока (перенос количества движения). В этом случае скорость потока .

Запишем это уравнение для объекта:



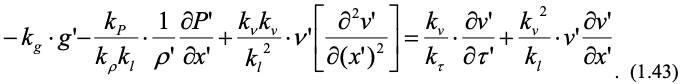
Аналогичное уравнение с учетом констант подобия запишем для модели:



Чтобы уравнения (1.42) и (1.43) были идентичны, все множители из констант подобия должны быть равны, тогда:



Домножив все члены уравнения (1.44) на kl /kv2, получим безразмерные соотношения:



Эти соотношения после подстановки констант подобия дают выражения соответствующих критериев подобия Фруда, Эйлера, Рейнольдса и гомохнонности. Так для критерия Фруда .




Опуская индексы, получим аналогично и другие критерии:



.

Для обеспечения подобия критерии подобия для объекта и модели должны быть численно одинаковы. Это положение определяет содержание 1-й теоремы подобия.

Так как члены уравнения Навье-Стокса представляют собой сумму удельных сил тяжести, давления, вязкости и инерции, то сравнивая их с выражениями критериев, можно сделать вывод, что критерий Фруда представляет собой отношение силы инерции к силе тяжести, критерий Эйлера отношение силы давления к силе инерции, критерий Рейнольдса отношение силы инерции к силе вязкости (учитывает режим движения) и критерий гомохронности отношение инерционных сил модели и объекта (учитывает нестационарность процесса).

Обычно критерий Эйлера является определяющим и математическое описание явления переноса количества движения в критериальном виде с учетом геометрического критерия Г имеет вид:



Таким образом, решение дифференциальных уравнений описывающих процесс можно представить в виде зависимостями между критериями подобия. Это положение известно как 2-я теорема подобия.

Выше было сказано, что для обеспечения подобия критерии подобия для объекта и модели должны быть численно равны, но тогда согласно зависимости (1.46) и определяющие критерии должны быть равны. Таким образом, для обеспечения подобия достаточно равенства определяющих критериев модели и объекта. Это положение определяет содержание 3-й теоремы подобия.

Ваша оценка очень важна

0
Шрифт
Фон

Помогите Вашим друзьям узнать о библиотеке

Скачать книгу

Если нет возможности читать онлайн, скачайте книгу файлом для электронной книжки и читайте офлайн.

fb2.zip txt txt.zip rtf.zip a4.pdf a6.pdf mobi.prc epub ios.epub fb3