Константин Владимирович Криничанский - Долг: состояние и тенденции стр 10.

Книгу можно купить на ЛитРес.
Всего за 650 руб. Купить полную версию
Шрифт
Фон

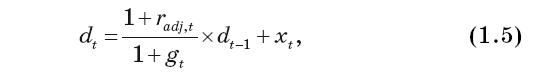
Покажем одно из базовых аналитических выражений, используемых автором, помогающих представлять динамику коэффициента «Долг к ВВП» в рекуррентной форме:



где dt коэффициент «Долг к ВВП»; radj, t процентная ставка, скорректированная с учетом налогового корректора и усредненная с учетом длительности держания долга частным сектором; gt темп роста ВВП[43]; xt отношение «Первичный дефицит к ВВП».

В свою очередь, процентная ставка корректируется с учетом налогов, уплачиваемых некоторыми категориями инвесторов по доходам от получаемых процентов, согласно формуле:



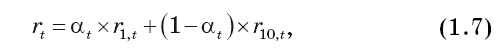
где τt неявная ставка налога; βt доля держателей долга, которые, подлежат налогообложению; rt усредненная с учетом длительности держания долга частным сектором процентная ставка, вычисляемая по формуле:



где r1t и r10 t процентная ставка (ставка доходности вторичного рынка) по 1-летним и 10-летним государственным облигациям, соответственно; параметр at вычисляется по формуле:


at = (10 средний срок погашения в годах) / 9. (1.8)


Общий вывод, полученный О. Бланшаром в результате проведенного моделирования, таков, что чистый эффект благосостояния от положительной динамики долга и трансферта долга в цепочке поколений будет положительным, если безопасная процентная ставка достаточно низка (номинальные ставки по государственным облигациям ниже номинальных темпов экономического роста), а средний маржинальный продукт не слишком высок (средний предельный продукт капитала не превышает средний темп роста экономики) [44].

В настоящем исследовании авторы затрагивают проблему избыточного долга и исследуют ее в большей мере с опорой на эмпирический материал. В разных частях книги эта проблема частично описывается также в теоретическом ключе, опираясь на логику и достижения работ предшественников.

Уровень заемных средств институциональных секторов экономики не только могут сами по себе быть фактором, сдерживающим экономический рост или повышающим волатильность роста, но и опосредованно негативно влиять на макроэкономику. Это происходит вследствие того, что избыточная закредитованность повышает уязвимость реальной экономики перед финансовыми потрясениями. Такое происходит, когда в ответ на изменения финансовых условий наблюдается такая негативная реакция уровня расходов и производственного потенциала, которая содержит в себе влияние избыточной кредитной нагрузки секторов. Изучением подобных эффектов в последнее время были заняты ряд известных ученых и коллективов (например, Б. Бернанке, М. Гётлер (1989)[45]; Э. Mendoza (2010)[46]; Дж. Эггертсон и П. Кругман (2012)[47]; П. Мартин и Т. Филиппон (2017)[48]), выводы которых чрезвычайно ценны с точки зрения проведения эффективной фискальной и макропруденциальной политики.

Наконец, еще один важный как с теоретической, так и с практической точки зрения вопрос состоит в том, имеет ли значение структура долга (в противовес абсолютным значениям) и ее динамика. Дж. Эггертсон и П. Кругман (2012) на этот счет высказываются в том ключе, что уровень долга сам по себе не имеет значения. Он становится значим только в том случае, если игроки с высоким и, напротив, низким уровнем долга сталкиваются с отличными ограничениями, иными словами долг имеет значение при рассмотрении того, как он распределен, и как и на кого это накладывает ограничения. Это замечание ведет к тому заключению, что дополнительные заимствования и рост долга одного сектора экономики могут помочь решить проблемы, возникшие из-за чрезмерного заимствования других участников в прошлом. В частности, «государственные расходы, финансируемые за счет дефицита, могут, по крайней мере в принципе, позволить экономике избежать безработицы и дефляции, в то время как агенты частного сектора с крупной задолженностью получают возможность восстановить свои балансы»[49].

1.3. Состояние и тенденции долга нефинансового сектора

В недавнем исследовании М. Кэнера, К. Фэна и Т.Дж. Греннеса (2019) авторы показывают, что, если в некоторой стране государственный долг превышает 100 % от валового внутреннего продукта (далее ВВП), а частный долг превышает 137 %, с высокой вероятностью темпы экономического роста в данной стране замедлятся[50]. Хотя эти результаты не являются вполне новыми, и также их нельзя считать применимыми универсально, например, по причине того, что они не затрагивают условий, в которых происходит рост долговой нагрузки экономик, а также прогнозных характеристик выпуска, процентной ставки и пр., они все же свидетельствуют об остроте проблемы долга в контексте перспектив экономического роста.

Ваша оценка очень важна

0
Шрифт
Фон

Помогите Вашим друзьям узнать о библиотеке

Скачать книгу

Если нет возможности читать онлайн, скачайте книгу файлом для электронной книжки и читайте офлайн.

fb2.zip txt txt.zip rtf.zip a4.pdf a6.pdf mobi.prc epub ios.epub fb3