Марат Авдыев - Восхождение к вершине гиперкуба. Великая теорема Ферма для миллиардов обычных людей стр 16.

Шрифт
Фон

В итоге Артур с отцом купили в магазине только материалы тонкой обработки тонкие строганные рейки 10 х 20 мм, наличники для окон 10 х 70 мм в магазине, а остальное -на базе.


Практическое правило:

Для того чтобы быстро и удачно вести переговоры о цене, где требуется сопоставлять трудно сопоставимые объёмы, величины и быстро производить в уме расчёты, рекомендуется выбрать и рассчитать стоимостные и др. характеристики стандартных образцов (шаблонов), на основании которых можно легко производить несложные вычисления. Этот приём универсален, он используется в технике, военном деле, социологических исследованиях, и мы будем обращаться к нему неоднократно.

Смена масштаба не меняет сути явления, но помогает в расчётах.

Глава 3. Подготовка к восхождению

Основы комбинаторики. Треугольник Паскаля

Выходные родители Татьяны и Артура старались посвятить спорту. Погода была самая что ни на есть лыжная: солнце, мягкий лёгкий снег и полное безветрие. И семья из четырех человек решила поехать на базу Локомотив. С разрешения родителей Татьяна пригласила профессора Борщова и Матвея  благо в большом автомобиле семьи было ровно шесть мест. Между Артуром и Татьяной возник спор: кто где будет садиться в авто? Конечно место водителя  не в счёт, остаётся пять свободных мест. Для простоты можно условно считать, что в кресле первого ряда может сидеть как взрослый, так ребёнок. Сколько различных комбинаций возможно?


Перестановки, формулы комбинаторики


Допустим, что все пять пассажиров рассчитались по номерам: 1, 2, 3, 4, 5. Первый пассажир может выбрать любое из пяти мест, второй  любое из оставшихся свободных четырёх, третий  любое из свободных трёх и т. д. В результате имеем:

5 * 4 * 3 * 2 * 1 = 5!


Обобщение. Будем переставлять их всеми возможными способами n объектов, при этом их общее количество остается неизменными, меняется только их порядок. Получившиеся комбинации называются перестановками, а их число равно:

Pn =n! =123 (n1) n


Символ n! называется факториалом и обозначает произведение всех целых чисел от 1 до n. По определению, считают, что 0!=1 и 1!=1.

Перестановкой из n элементов (например чисел 1, 2, n) называется всякий упорядоченный набор из этих элементов.

Число сочетаний

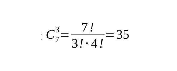
Теперь рассчитаем число сочетаний книг из библиотеки, буккроссинга. На первом этаже подъезда дома Татьяны и Артура инициативная группа создала полку для обмена книгами буккроссинг. Сегодня на полке осталось 7 книг, Все книги были интересными, но Артур решился позволить себе прочитать лишь три книги из-за высокой учебной нагрузки. Каково число вариантов выбора трёх книг из семи?

Чтобы найти ответ надо просто разделить все имеющиеся 7 книг на три подгруппы А, Б, В и мысленно осуществлять перестановки в каждой, их число будет

А) Всего в библиотеке 7 книг или 7! перестановок

Б) Дома у Артура 3 книги или 3! перестановок

В) Осталось в библиотеке 4 книги или 4! перестановок.


при этом не различимы варианты, когда книги остаются в пределах любой из подгрупп: не важно в каком порядке они следуют на полке дома у Артура или остаются стоять в библиотеке. Поэтому имеем:


Число сочетаний для случая буккросинга на полке дома Артура


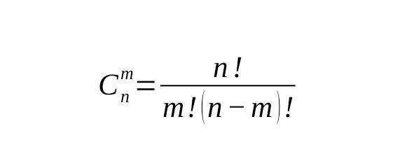
а общая формула для расчёта числа сочетаний:


Биноминальный коэффициент или число сочетаний рассчитывается по это формуле


Смысл формулы заключается в том, что из возможных перестановок книг, перестановки на самой полке библиотеки буккросинга и личной полке читателя не имеют значения: такие перестановки рассматриваются как равнозначные сочетания. Следовательно общее число перестановок необходимо разделить на число перестановок на библиотечной полке и разделить также на число перестановок на читательской полке.

Число сочетаний это также биноминальный коэффициент. Происходит это наименование из Бинома Ньютона. Несложно раскрыть следующее выражения (a + b) n для случая n = 2, n = 3, n = 4  легко убедиться, что образуется ряд в виде суммы произведений вида:


Бином Ньютона. С помощью этой формулы можно разложить выражение (a + b) n

Ваша оценка очень важна

0
Шрифт
Фон

Помогите Вашим друзьям узнать о библиотеке

Скачать книгу

Если нет возможности читать онлайн, скачайте книгу файлом для электронной книжки и читайте офлайн.

fb2.zip txt txt.zip rtf.zip a4.pdf a6.pdf mobi.prc epub ios.epub fb3