Валентин Юльевич Арьков - Введение в эконометрику. Учебное пособие стр 5.

Шрифт
Фон

Line (Линия)  Solid Line (Сплошная линия)

Color (Цвет линии)

Width (Толщина линии)

Удалите легенду (условные обозначения) с графика


Рис. Легенда для диаграммы


Рис. Окончательное оформление графика


Рис. Коэффициенты и их сигмы (с. к. о.)


В таблице приводятся следующие оценки:

 Coefficients (Коэффициенты)

 Standard Error (Стандартные ошибки коэффициентов)

 Intercept (Свободный член уравнения)

 X Variable 1 (Коэффициент регрессии при первой переменной X)


Запишите результаты регрессионного анализа в следующем виде:


Рис. Оценки и их ошибки


Количество значащих разрядов должно быть не меньше, чем в исходных данных. Значащие разряды относятся к представлению числа с плавающей точкой, а не к знакам после десятичной запятой, см. рис.


Рис. Три значащих разряда


Напомним, что такое «число с плавающей точкой». Это особая компьютерная запись числа. Часто встречается при выводе чисел на экран. Такое число состоит из мантиссы (значащей части) и показателя степени, см. рис.


Рис. Число с плавающей точкой


Выражение «плавающая точка» имеет свой смысл. При записи дробных чисел точка в западных странах и запятая в России разделяет целую и дробную части числа. Слово «плавающая» означает, что положение этого разделителя «плавает», то есть его можно сдвинуть влево или вправо  достаточно умножать на десять в какой-нибудь степени.

Обратим внимание, что на рисунке во всех числах имеется всего три значащих разряда. Это количество десятичных знаков в мантиссе.

Вторая часть записи  показатель степени. Между мантиссой и показателем находится английская буква Е. Это первая буква английского слова EXPONENT, которое переводится как «показатель степени». Русское слово «экспонента» звучит похоже, но означает «возведение числа Эйлера е 2,718 в какую-нибудь степень».

Перед нами очередная ловушка для переводчика. Есть такое выражение  «ложные друзья переводчика». Это иностранные слова, которые звучат точно так же, как и русские слова, но имеют другое значение.

Просмотрите статью Floating-point arithmetic в Википедии.

Посмотрите перевод слова exponent в Переводчике Яндекса.

Посмотрите значение слова экспонента и выражения экспоненциальная функция в Вики-Словаре.

В нашем примере значения роста содержат три значащих разряда, значения веса  два. Поэтому следует оставить хотя бы три значащих разряда.

Если при округлении последний разряд оказался равным нулю, записываем ноль. Это явно указывает читателю, сколько мы оставили значащих разрядов.


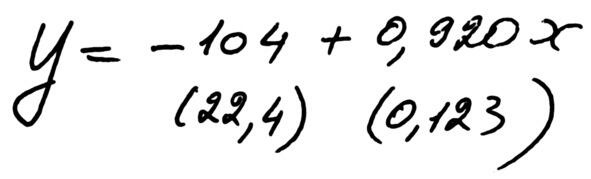
Рис. Коэффициенты и с. к. о.  три значащих разряда


Запишите уравнеие регрессии с указанием названия переменных.


Рис. Уравнение регрессии


Проведём интепретацию уравнения регрессии. Объясним простыми словами, что означает коэффициент 0,920 при переменной «Рост». Напомним, что в нашем примере вес измеряется в килограммах, а рост  в сантиметрах.

Чтобы число было приятнее для глаза, умножим его на десять. Вот что у нас теперь получается:

При увеличении роста в анализируемой выборке на 10 сантиметров вес увеличивается в среднем на 9,2 килограмма.

Проведите интерпретацию своего уравнения регрессии в таком же стиле.

1.6.2. Функция LINEST

Функция LINEST / ЛИНЕЙН позволяет получить оценку параметров линейного уравнения с помощью метода наименьших квадратов (МНК). Прежде всего, это коэффициенты линейного уравнения. В уравнении может быть один «игрек» и один или более «иксов». Другими словами, это модель с одним входом и несколькими выходами.

Само название функции, скорее всего, является сокращением от выражения Linear Estimates (линейные оценки) или Linear Model Estimate (оценка линейной модели).

Данная функция позволяет получить не только оценки коэффициентов уравнения регрессии. Здесь есть и дополнительные возможности, см. рис.


Рис. Параметры функции LINEST


При указании значения TRUE для аргумента stats функция выводит дополнительные статистические показатели.

Ваша оценка очень важна

0
Шрифт
Фон

Помогите Вашим друзьям узнать о библиотеке

Скачать книгу

Если нет возможности читать онлайн, скачайте книгу файлом для электронной книжки и читайте офлайн.

fb2.zip txt txt.zip rtf.zip a4.pdf a6.pdf mobi.prc epub ios.epub fb3