meN/Ace - Defunct. Epic battle of neuralink стр 18.

Шрифт
Фон

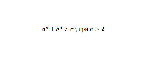
Only two years ago, it was possible to find the lost instructions, and to solve the riddle of the passage of the mysterious room. But, if even ordinary residents of the city composed legends about the fifth tier of the dungeon, from generation to generation, almost no one knew about the existence of the three lower tiers, including the royal family. This discovery shocked the government elite. It turns out that the lower floors were dug in secret, even from the council of the wisest. The eldest son of Rift, already heading the NDC at that time, was directly involved in the passage of the maze. Thanks to him, the most difficult tasks were solved, to unlock the steel plates. In particular, the problem of equating different classes of algorithms, which, even in the twenty-first century, is considered one of the most important unsolved mathematical problems. At this moment, we may have a lot of questions. How did the prince solve such a complex riddle, and, most importantly, how did the ancient Osiris even think of it? There is an answer. The riddles indicated in the old instructions were not written by the Osiris at all, but by the Nahmau from Shelber. Prince Haste, devoted his whole life to mathematics. Even as a teenager, he built his own system of receptivity, based on the Nahmaut school of Dakhu. This secret knowledge has been hidden for several centuries in the secret libraries of the neighboring valleys. However, some echoes of solving the most difficult theorems reach Vayelon. The idea of a fundamental logical hierarchy that generates the natural laws of physics, and all other laws, including those not observable and non-existent in nature, captured the mind of the prince from childhood. And since there was no access to the original sources, he had to reinvent it, inspired by stories about the methods {x, y}. Over time, he and his friends built a base sufficient for multifunctional applications. According to this system, many hypotheses formulated by him were solved, including the statement famous in modern mathematics:.



Finding a storage room that looked like a huge safe with mirror-shining metal, stainless walls, the scientists took out all the relics, and in anticipation rushed to study them. But the artifacts were not as interesting as the steel manhole cover leading down. To open it, it was also necessary to enter a combination, but there was not a word about the sixth tier in the instructions. After a little fiddling, the lid was cracked open by the method of selection, and we went down the stairs into a high, not at all equipped, creepy room, reminiscent of a cave from horror attractions in an amusement park. Torches were fixed on the damp, uneven, stone walls, with colored lights burning there for centuries! They hung from the ceiling like porcelain stalactites, and in the dark irregularities, between the hillocks, ventilation was carried out. Walking along a narrow stone bridge, slippery like ice, leading downhill, you can observe green lakes, illuminated by lanterns right under the water. Under the artificial cave rivers, stone gates were found, leading even lower into the dungeon. It was not difficult to open them, and on the floor below, it was no longer so dark and cold. All the water was poured into sedimentation tanks, through pipes. The seventh tier was a kind of boiler room, neatly lined with decorative tiles. Huge gas cylinders were cut into an underground vein of natural combustible deposits. This explains the appearance of heat and the source of endless energy here and tier above. Getting to the last, eighth floor was already very problematic. Firstly, the entrance there was rather non-standard  through the ceiling, the seventh tier. Secondly, it was disguised, flush with yellow tiles. The fact that the seventh tier is not the last was generally found out by chance. When one of the scientists pressed the lever plate, studying the wall coverings, he realized that this mechanism was not here for nothing, and, informing his comrades, they quickly found the remaining plates and activated them by opening the upper square hatch on the opposite side. from the entrance. There was the last trap, called the «hole of death.» This is a very narrow passageway giving the illusion of a wide passageway. If you can get there without any problems, then it is no longer possible to get out. At least twenty meters long, this loop was also made according to the principle of a labyrinth. Only, a labyrinth in which you need to crawl, and if you make a mistake and crawl into the wrong opening, you can say goodbye to life, since there is no way back. The walls narrowed in a cone at an angle, and, in the narrowest place, when moving forward, they rose imperceptibly, from the pressure on them. As if scrolling, inside, at the ends of the plates, there were lever mechanisms. They were firmly fixed, after turning, so that bending them back by inserting, for example, a stick would not work. This ancient trap was known to the Osiris from time immemorial, however, the scientists burning with excitement bought into it, and crawled inside ahead of their servants. It was no longer possible to get them out alive. It was decided to burn their bodies with an explosion, at the same time expanding the damned rocky holes. A series of explosions helped to cope with the «burrow of death» and the discoverers received a fair reward for their work. The eighth tier, later called the «devils library».

When the mysterious books of sorcerers fall into the hands of scientists, they usually lose all their aura, magic and become ridiculous, in the hands of omniscient geniuses. Smart people ridicule the primitive tales that are taken seriously by the majority, which have little in common with science. Beautiful trinkets, in the form of medallions and hand bracelets, did not attract Hastes attention. Only one hourglass caught his eye. In an ordinary glass vessel with a thin neck, all the sand adhered to the top of the container, and the bottom was empty. At first, without attaching importance to this, he decided that the sand was simply soldered to the glass, but turning them over, he saw the sand thread rush back up, which amazed him. After all, not sand, not glass do not possess such a force of magnetism. This was the first thing that he could not explain for so long, racking his brains for months in his laboratory. But, the team of the senior prince, the most devoted to science of the Osiris, was more interested in one nameless rectangular book, with the most beautiful cover, of volumetric geometric shapes. Too much it resembled the same «Origin», partially described by Selim Svurt in his «Book of Life», found here in the original. The «Book of Life» has a round shape, just like «Svurts Law». Because it was written in Nahmaut. Another interesting fact: all Nahmau books, every single one, are either round or oval. Most likely, this is directly related to their writing, which consisted of only one circle. But, all these books have long been rewritten by the Osiris into the usual square books for us. Every self-respecting scientist, including Haste, and the council of the wisest, the council of Fimirel and the governors of Shelber, obeyed the «Law of Svurt». She was obeyed even in the farthest corners of the earth, those who did not even know about her existence. Therefore, like everyone who did not obey the «Book of Life», he obeyed the book «Law of Svurt», it is «The Teaching of Selim» (rewritten by the high priests in a more restrained and improved form). How it works? And why, the tribes of all races and peoples, from kings to beggars, from generation to generation, lived according to the rules of Svurt, without even realizing it? The secret is that it was not people who adjusted to the books, but, on the contrary, the books adjusted to peoples lives. «The Book of Life» is a book with scientific, sensory knowledge of the world, where the reader is the creator himself. Its methods are so diverse that they can be used to predict the future development of civilization, in terms of technological progress. The Teachings of Selim is a unique religious book, in a similar way, uniting all believers in some supernatural beings, into a common group. It is painted in such a way that any religion can be entered into it. From the one god and pagan idols, to the worship of flowers and bulls. In the «Teachings of Selim» the Almighty has no name, no history, no specific morality of the separation of good and evil, and does not even have his own numerical number. He always has a complete material appearance, and, at the same time, does not have it, also in full. This makes it not only omnipresent, but also unites it with our world in such a way that God is not a separate entity of the universe, and not its inner part. And, infinity itself, emptiness and matter  are part of its essence. Therefore, all the deeds that mortals do in our humble world are not divided into bad or good, because, as, they are done not just by his will, but by himself. But, if the Almighty were always so diverse, he would not be able to bring morality to the world of the living. Therefore, his omnipresence is capable of being divided into endless stages of personality formation. A well-known excerpt from the book «Svurts Law»: «Quran 6, Magat 1 (orig. From nahmau: enlightenment 6, chapter 1): Do well not for yourself, but for God. But, since you are a part of God, do well for yourself. Do good to your friend, he is also a part of God. Do well to your enemy, because even he is a part of God. «But, it is possible to build a reverse logic that does not contradict the «Svurts Law»: do not help either your friend or your enemy, if you want it, then God wants it too. Therefore, the book was supplemented to exclude such thinking. In the new, rewritten book, «The Teachings of Selim», the Almighty concentrates his energy in certain places, which only he perceives as a single whole. These lumps of energy are the mind, which has a simplified, limited receptivity. This limitation allows the mind to hold its essence (to live the time allotted to it) in the projection that it is aware of. By the way, the mind here replaces the soul, spirit and similar disembodied foundations of the personality, in contrast to more primitive religions. «The Teachings of Selim» affects a person like a powerful psychological book, forcing the personality to develop culturally and morally, gradually removing the limitations of temptations. The higher the spiritual level of a person, the more she is allowed actions and thoughts that are forbidden for less conscious people who can be dangerous both for themselves and for others by their lack of understanding of something and not restraint before anyone. It is wrong to harm someone. This weakens the one-man management striving for perfection, the collective mind. And, even if for the Almighty it doesnt matter whether you do good or selfish deeds, you doom yourself to disbandment, moral decay, which leads to intellectual and bodily decay. Your desires will never be fulfilled, and you will always experience the same length of time. From a bunch of energy, of their own free will becoming emptiness. Only kings and various thinkers, whose spiritual level is the highest, can be frightened by such an outcome. For simple people, there are simpler outcomes. You can, for example, blaze for eternity in the good old hellish flame, surrounded by hairy men with tails and horns, and for good deeds, life will continue in luxurious castles overgrown with vineyards. Life after death has thousands of variations here. You can be reborn into any animal, go to heaven, parallel worlds or stellar oceans. The peculiarity is that the stages of formation are not indicated explicitly, only their constituent abilities and ways of thinking are listed. In the same way as punishments for crimes in the next world are not spelled out, in the form of an explicit sentence. The book clearly describes all kinds of models of peoples behavior, for each of which there is its own instruction, encouragement and sentence, which must be compared with its own worldview. The reader finds himself in this hodgepodge, and instinctively draws conclusions about himself that are pleasing to the book.

Ваша оценка очень важна

0
Шрифт
Фон

Помогите Вашим друзьям узнать о библиотеке

Скачать книгу

Если нет возможности читать онлайн, скачайте книгу файлом для электронной книжки и читайте офлайн.

fb2.zip txt txt.zip rtf.zip a4.pdf a6.pdf mobi.prc epub ios.epub fb3