Андрей Дмитриевич Криворак - Количественная теория Фридмена: конспект и комментарий

Шрифт
Фон

Количественная теория Фридмена: конспект и комментарий


Андрей Дмитриевич Криворак

© Андрей Дмитриевич Криворак, 2021


КОЛИЧЕСТВЕННАЯ ТЕОРИЯ ФРИДМЕНА: КОНСПЕКТ И КОММЕНТАРИЙ

Андрей Криворак


Введение

Очевидно, что темпы экономического развития России явно не соответствуют её потенциалу. Причина одна  неэффективное управление экономикой, что является следствием отсутствия действенной экономической стратегии развития. Такая стратегия не может родиться по причине непримиримой схватки различных ветвей власти и экономических теорий. Одной из таких ветвей в науке является монетаризм, отцом которого, совершенно справедливо является выдающийся американский экономист Милтон Фридмен. Чтобы разобраться, чем он не угодил своей оппозиции, стоит ознакомиться с его знаменитой статьёй, которая вышла в 1956 году и называлась «Количественная теория денег».

В этой большой, в сто страниц, статье Фридмен поставил себе целью вычленить из множества количественных теорий денег одну и по-новому сформулировать её суть. Именно с сути он и начинает свою работу, представив количественную теорию денег как теорию спроса на деньги.

Вся логика изложения учёного построена на основе влияния на денежный спрос предельных величин. Поэтому, если уважаемый читатель не знаком с такими понятиями как предельный доход, предельный продукт, предельные издержки и прочие категории микроэкономики, то его попытки понять автора в первоисточнике (особенно это касается второй главы), скорее всего, окажутся безуспешными. Цель конспекта состоит в том, чтобы донести до читателя только основные категории, содержание и выводы. В том числе и вывод о том, каким должен быть оптимальный объём денежной массы.

В начале первой главы, объём которой составил 20 страниц, Фридмен не только формулирует смысл своей теории, но и предлагает анализ функции спроса на деньги. Предварительно он даёт характеристику некоторым категориям. В частности, категориям богатства и денег.

Богатство  есть источники дохода и потребительские блага. Сумму богатства в денежном выражении мы получим, если разделим поток доходов на учётную ставку. Формы богатства: деньги, облигации, акции, физические блага, человеческий капитал.

Деньги для потребителей представляют собой форму владения богатством. Для бизнеса деньги являются капиталом, возможностью владеть средствами производства. Спрос на деньги зависит от размеров богатства, от издержек производства и от целей собственников богатства.

Всё это вводные понятия, с ними никто не спорит, но они нужны для одинакового восприятия всеми читателями дельнейшего содержания статьи.

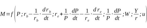
Далее следует рассмотрение функции спроса на деньги как главного объекта внимания количественной теории. Функцию спроса на деньги Фридмен рассматривает не в ролевом значении, а в математическом, как зависимость спроса от ряда переменных величин: цена (P), динамика её изменения (dP/dt), процент (re), поток доходов (Y), время (t), вкусы и предпочтения (u) и полная величина богатства (W). Он достаточно подробно описывает влияние на спрос каждой из переменных.



Множество переменных величин обуславливает множество их возможных комбинаций. Это создаёт сложность восприятия их общего влияния на денежный спрос.

После представления функции спроса на деньги автор переходит к проблемам, связанным с предложением денег со стороны банков.

Затем автор, видимо, для внесения полной ясности, переходит к своему взгляду на аргументы оппонентов его теории. Первым становится Джон Мейнард Кейнс. Возможно, следует отметить, что Дж. Кейнс представлял собой в ту пору основную противоборствующую силу для теории М. Фридмена.

В послевоенный период весь мир восстанавливал, а затем развивал, свою экономику по теории Кейнса. Но это была экономика краткосрочного периода. Фридмен же предлагал методы, направленные на действие в длительном периоде времени. Забегая вперёд, можно констатировать, что в итоге методика Фридмена победила.

Что касается конкретной критики, то она относится только к уровню, предлагаемому Кейнсом процентных ставок.

Ваша оценка очень важна

0
Шрифт
Фон

Помогите Вашим друзьям узнать о библиотеке

Скачать книгу

Если нет возможности читать онлайн, скачайте книгу файлом для электронной книжки и читайте офлайн.

fb2.zip txt txt.zip rtf.zip a4.pdf a6.pdf mobi.prc epub ios.epub fb3