Николай Проскурин - Оптоэлектронные ИС: результаты макетирования, моделирования маломощных переключений элементов оптронов стр 5.

Шрифт
Фон

Моделирование ФП на основе Si также требует дополнительного учета оптических процессов (объемной скорости генерации  ОСГ, рекомбинации НЗ под действием излучения, учет типов поглощения, глубины проникновения, др.).

Моделирование приборов на основе GaAs является более сложной задачей (чем ППС на основе Si) из-за более сложной структуры и параметров материалов типа А3В5, их зависимости от способа изготовления [64]. Необходимо учитывать межзонную рекомбинацию, неравновесные и квантовые эффекты, связь между оптическими, оптоэлектронными процессами, процессами переноса НЗ.

Но аналитические методы не требуют специальных ПС, обеспечивают определенную точность расчета ППС с одним p-n переходом [13,17,31].

Исходя из анализа методов расчета ППС и с учетом приведенных рассуждений, расчет электрических параметров излучателя ОВЧ оптопары (СД ИК диапазона, один p-n переход) предложено проводить аналитическим методом. Дополнительно возможно составление аналитической модели для расчета оптических параметров излучения СД (по методикам, изложенным в работе [31]).

Характеристики ФП (интегральная структура в виде многослойной ППС, состоящей из двух приборов: ФД и n-р-n транзистор, трех p-n переходов, см. рис.1.8б) предложено получить ЧМ в ПС «Исследование», применяемой для расчета ВЧ приборов по методикам, приведенным в работе [62]. Результат математического моделирования ППС p-i-n ФД и ВЧ n-р-n транзистора представляется в виде решения систем дифференциальных уравнений: Пуассона (описывает распределение потенциала) и непрерывности (описывающих поведение НЗ) и наборов статических, динамических ВАХ этих ППС. В источниках [13, 3543, 6264] приведены основные уравнения для расчета полупроводниковых приборов и методика их решения на примере расчета аналитической модели транзистора.

В следующем подразделе приведены исходные данные и результаты макетирования маломощных схем оптоэлектронных логических вентилей на оптопарах производства СНГ с тремя типами ФП.


2.4. Исходные данные и результаты исследования переключения светодиодов в маломощных режимах при макетировании схем логических вентилей

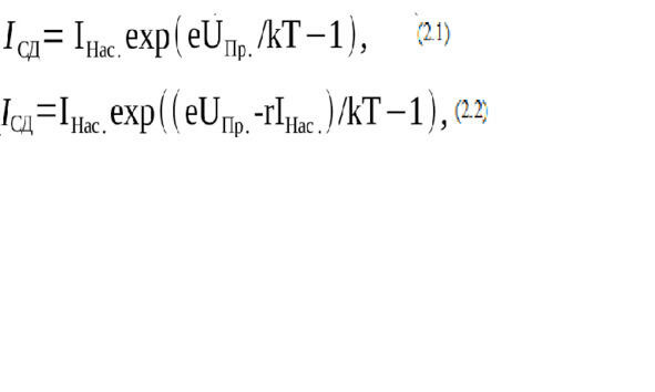
Задачами настоящего подраздела являются проверка функционирования схем ОЛЭ КИПТ типа ОИ, n ИЛИ-НЕ с узлами переключений СД, выполненными по схеме рис.1.10в (см. подр.1.5) на дискретных оптопарах типа СД-ФП и ОЛУ на их основе с возможностью использования маломощных режимов. Анализ узлов схем ОЛЭ показывает обязательное наличие в них элементов оптопар, разнесенных между входными, выходными логическими входами отдельно взятого ОЛЭ [15]. Схема ОЛУ состоит из нескольких ОЛЭ, соединенных между собой для реализации выходной функции Y (по аналогии со схемами цифровых устройств на известных типах логики [16]). Между собой две и более схемы ОЛЭ связаны оптически, что предполагает наличие одного излучателя и одного (или нескольких) ФП. Для подтверждения их работоспособности применим в электрических схемах ОЛЭ серийные оптопары (например, ИК диапазона) с несколькими типами ФП так, что выходной СД (являясь излучателем предыдущей схемы ОЛЭ) был оптически связан с логическим входом ФП последующей схемы ОЛЭ (см. рис. 1.10д,е, книга1). Оценим режимы работы СД по параметрам: величина тока ІСД (напряжения UСД), мощность потребления РСД, частота переключения fСД и характеристики модуляции с учетом того, какая часть его ВАХ используется. ВАХ СД представлена на рис.1.8в, она соответствует ВАХ идеальных СД ИК диапазона и описывается выражением 2.1 [10, с.70], а с учетом падения напряжения на слаболегированной области базы СД, обладающей повышенным сопротивлением r (для реального СД) оно несколько меняется и имеет вид 2.2:



где: IНас., IСД  токи насыщения обратной ВАХ и текущего в СД;

е  заряд электрона, UПр.  напряжение прямого смещения СД;

k  постоянная Больцмана;

T  температура в градусах Кельвина;

r  сопротивление слаболегированной области базы СД.


Характерными особенностями ВАХ СД является две области, которые можно условно обозначить: 1  значения тока ІСД близкие к нулю (область большого значения дифференциального сопротивления RДиф. СД= ΔU/ΔІ); 2  линейной зависимости ІСД от UСД (область малого значения дифференциального сопротивления RДиф. СД). Абсцисса перехода зон 1 в 2 соответствует значению порогового напряжения UПор., при котором возможно его свечение. При анализе работы оптоэлектронной схемы ОИ (на оптопаре СД-ФП), используется упрощенное представление ВАХ СД  путем аппроксимации исходной ВАХ кусочно-линейной функцией [13, с.152], имеющей два участка а и б:

Ваша оценка очень важна

0
Шрифт
Фон

Помогите Вашим друзьям узнать о библиотеке

Скачать книгу

Если нет возможности читать онлайн, скачайте книгу файлом для электронной книжки и читайте офлайн.

fb2.zip txt txt.zip rtf.zip a4.pdf a6.pdf mobi.prc epub ios.epub fb3