Руслан Султанов - Бог вне времени и пространства стр 2.

Шрифт
Фон

Солнце  это центр Солнечной системы (гелиоцентрическая система), внутри которой, как известно, находится наша с вами планета Земля. Солнце  это звезда, источник света и тепла, источник жизни на земле. Солнце настолько сильное и мощное, что сила его притяжения, которая удерживает нас на своей орбите, может разорвать стальной трос диаметром 3000 км!

Но для начала, чтобы понять основы мироздания и выяснить, что есть жизнь, давайте больше не будем смотреть только в горизонтальной плоскости, и, пожалуй, обратим внимание к такой науке, как Физика. Понятие «Физика», было введено древнегреческим философом Фалесом Милетским в 6 веке до Р. Х. Он использовал этот термин для обозначения вечного, неизменного первоначала, материальной основы всего сущего. Сейчас этим словом называют науку о материи, ее структуре, свойствах и движении. Сотнями лет ученые пытались понять, из чего же состоим мы с вами и, наконец-то, череда многих открытий дала нам ответ на этот вопрос. Мы состоим из молекул, а молекулы из атомов. Смею заметить, что не только мы имеем в своей основе эти частицы, а все органические, неорганические соединения и формы жизни. То есть животные, камни, реки, моря, растения, машины, самолеты  все это состоит из определенного набора молекул и атомов. Да, это научный факт, причем неоспоримый. Но конечная величина микро- или нано мира  это элементы, которые собраны во всемирно известную таблицу русского ученого Д. И. Менделеева (18341907). Вот рисунок, который представляет атом как частицу с центром внутри и вращающимися по кругу электронами. Для справки: Атом (от греческого atomos  неделимый)  одноядерная, неделимая химическим путем частица химического элемента, носитель свойств вещества. Вещества состоят из атомов. А вещества  это мы с вами тоже.


Строение атома


Не напоминает ли вам это нашу Солнечную систему? Солнце внутри, орбиты планет и даже самим планеты!



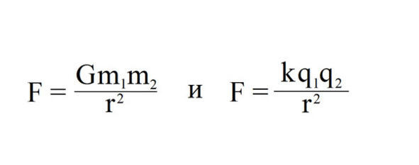
Не правда ли, два этих рисунка похожи? Но на первом рисунке самая маленькая частица  атом, а на втором рисунке огромная Солнечная система, конца которой еще не достиг ни один живой человек на Земле. «Как же такое может быть?»  спросите вы. На самом деле, все гениальное просто. Даже наша с вами Cолнечная система тоже состоит из атомов, молекул и химических элементов, то есть из элементарных частиц. Кроме того, физические явления, удерживающие планеты на орбите Солнца и электроны на орбитали атома различаются только своей природой, но очень похожи по поведению, достаточно взглянуть на описывающие их формулы.


Формулы закона Кулона и закона всемирного тяготения


Но нас интересует не только сходство этих законов, но и то, как хорошо сочетаются силы этих взаимодействий друг с другом. Если бы гравитация была чуть слабее, то наш мир разлетелся бы на мельчайшие составляющие атомы; будь сила гравитации немного больше  не было бы отдельных планет, вся Солнечная система сжалась бы под действием сил всемирного тяготения. Все текущие значения физических величин обеспечивают нашему миру само его существование.

Но чтобы это все работало многие века, тысячелетия и миллиарды лет, все должно быть так грамотно придумано и изобретено, чтобы никогда не возникало сбоев и накладок; и эта схема настолько уникальна, проста и надежна, что по ней придумали и сотворили самого человека, то есть нас всех  людей живших и живущих, и тех, кто еще будет жить на нашей планете, а, возможно, и в других 10 000 мирах нашей галактики Млечный путь. Я думаю, еще до того, как на нашей Земле существовали динозавры  эта схема уже работала и работала успешно, чему доказательство  возраст самой Земли в 5 миллиардов лет (по подсчетам ученых). Возраст же самой Вселенной и космического пространства до сих пор остается спором ученых разных стран. Но для меня лично существует своя, новая, отличная от всего ученого мира, теория. Возраста нашей видимой Вселенной так же, как возраста самого Солнца или Земли, мы не знаем и знать не можем, так как в космическом пространстве времени как такового не существует! Время относительно и применимо только в пределах нашей Солнечной системы. К тому же, время, как физическая величина, придумано самими людьми для удобства подсчета каких-либо действий или явлений.

Ваша оценка очень важна

0
Шрифт
Фон

Помогите Вашим друзьям узнать о библиотеке

Скачать книгу

Если нет возможности читать онлайн, скачайте книгу файлом для электронной книжки и читайте офлайн.

fb2.zip txt txt.zip rtf.zip a4.pdf a6.pdf mobi.prc epub ios.epub fb3