Федор Бражников - Многофакторное формирование стоимости компании стр 8.

Шрифт
Фон

= NOCF (чистый операционный денежный поток), то есть денежный поток от операционной деятельности, без учета денежного потока от инвестиционной и финансовой деятельности

 CF (общий денежный поток) от инвестиционной деятельности

= FCF (свободный денежный поток)

Для развивающихся стран (стран с формирующейся рыночной экономикой) характерны высокие макроэкономические риски (отсутствие стабильности и последовательности в экономической политике, частый пересмотр законодательства, высокий уровень инфляции, нестабильность или большая волатильность курса национальной валюты, ограничения или контроль за движением капитала, высокий уровень прямого или косвенного налогового бремени, коррупция), и для того, чтобы их учесть, необходимо разработать ряд возможных с разной степенью вероятности сценариев для уровней денежных потоков компании в разных ситуациях.

Результаты оценки дисконтированного FCF (свободного денежного потока) взвешиваются по каждому сценарию, а затем рассчитывается взвешенная (по вероятности различных сценариев) стоимость компании.

Денежный поток в компании можно разделить на следующие составляющие3:

1) Денежный поток от операционной деятельности.

Приток:

+ денежная выручка от реализации продукции от основной деятельности предприятия (компании);

+ погашение дебиторской задолженности перед компанией;

+ авансы, полученные от покупателей.

Отток:

 платежи поставщикам и подрядчикам;

 выплата заработной платы сотрудникам, премии, бонусы;

 отчисления в бюджет и внебюджетные фонды;

 уплата процентов по кредитам и займам.

2) Денежный поток от финансовой деятельности.

Приток:

+ получение краткосрочных кредитов или займов;

+ получение долгосрочных кредитов или займов;

+ поступление от эмиссии акций;

+ целевое финансирование;

+ выпуск векселей.

Отток:

 возврат краткосрочных кредитов и займов;

 возврат долгосрочных кредитов и займов;

 выплата дивидендов;

 погашение векселей.

3) Денежный поток от инвестиционной деятельности.

Приток:

+ продажа основных средств, нематериальных активов;

+ получение дивидендов, процентов от финансовых (инвестиционных) долгосрочных вложений;

+ возврат инвестиций (финансовых вложений).

Отток:

 приобретение основных средств, нематериальных активов;

 капитальные вложения;

 долгосрочные финансовые вложения.

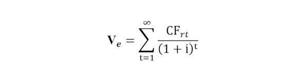
При оценке стоимости акционерного капитала вместо свободного денежного потока (FCF) рассматривается остаточный денежный поток, который вычисляется по формуле:

CFr= [FCF-Возврат заемного капитала].

Стоимость акционерного капитала в этом случае определяется по формуле:



Наряду с проблемой прогнозирования FCF (свободного денежного потока) при оценке стоимости компании возникает и проблема обоснованного выбора ставки дисконтирования. В экономическом смысле это максимальная ставка доходности по имеющимся альтернативным вариантам инвестиций с сопоставимым уровнем риска на дату оценки. Существуют различные методы обоснования ставки дисконтирования в зависимости от того, какая составляющая инвестированного в компанию капитала подлежит оценке: если оценивается собственный капитал (для акционерных обществ  акционерный капитал или акции), то наиболее часто используют аналитическую модель CAPM (оценка стоимости капитальных активов), метод кумулятивного построения, экспертные методы, а при оценке стоимости всей компании  метод WACC (расчет средневзвешенной стоимости капитала компании). Сегодня метод WACC является, по моему мнению, наиболее объективным методом расчета стоимости капитала для расчета стоимости компании.

Использование аналитических моделей расчета ставки дисконтирования при оценке стоимости акционерного капитала компании не всегда адекватно отражает действительность и требует экспертной корректировки, а значит, в известной степени является субъективным.


1.1.3. Некоторые вводные касательно стоимости капитала

Структура капитала характеризуется соотношением собственных и заемных средств компании.

Стоимость капитала  это отношение общей суммы средств, которую компания должна уплатить за использование в течение года всех финансовых ресурсов, к их среднегодовому объему, то есть к среднегодовой величине пассива баланса.

Ваша оценка очень важна

0
Шрифт
Фон

Помогите Вашим друзьям узнать о библиотеке

Скачать книгу

Если нет возможности читать онлайн, скачайте книгу файлом для электронной книжки и читайте офлайн.

fb2.zip txt txt.zip rtf.zip a4.pdf a6.pdf mobi.prc epub ios.epub fb3