Валентин Юльевич Арьков - Статистический анализ взаимосвязи. Учебное пособие стр 6.

Шрифт
Фон

Возможна и другая ситуация  НЕЛИНЕЙНАЯ зависимость, которая тоже представляет собой отсутствие линейной связи. Нелинейной зависимостью является всё, что не является линейным, например, кривая или ломаная линия. В этом случае коэффициент линейной корреляции будет близок к нулю. Но при этом точки могут быть очень тесно расположены вокруг кривой или ломаной линии. Для анализа степени нелинейной связи используют другие коэффициенты корреляции. В данной работе мы ограничимся только анализом тесноты линейной зависимости.

Как и во многих других случаях, для вычисления коэффициента корреляции в Excel имеются несколько способов:

 надстройка;

 функции;

 формулы.

В следующих разделах мы рассмотрим все эти возможности, а затем сравним полученные результаты.

Надстройка

Вызываем модуль Корреляция статистической надстройки:

Data  Analysis  Data Analysis  Correlation

Данные  Анализ  Анализ данных  Корреляция.


Параметры корреляционного анализа


В диалоговом окне

Correlation

Корреляция

указываем следующие параметры:

Input  Input Range

Входные данные  Входной интервал.


В выбранном диапазоне ячеек должны быть два столбца значений X и Y.

Затем указываем расположение исходных данных:

Labels in first row

Метки в первой строке.


Выделяем значения в столбцах X и Y вместе с их заголовками. В этом случае в таблице с результатами анализа будут выводиться названия переменных.

Указываем, что наши исходные данные расположены по столбцам:

Grouped By  Columns

Группирование  по столбцам.


Обратите внимание, что здесь имеется в виду расположение данных по столбцам, а не статистическая группировка, хотя на экране и присутствует слово ГРУППИРОВАНИЕ. Как говорил Козьма Прутков: «Не верьте глазам своим». Мы пока что просто описываем исходные данные и даже не начинали заниматься группировкой.

Отмечаем первую ячейку, начиная с которой будут выводиться результаты анализа:

Output options  Output Range

Параметры вывода  Выходной интервал.


Результаты корреляционного анализа


На экран выводится таблица коэффициентов корреляции. На пересечении строки Y и столбца Х выводится искомый коэффициент. Единичные коэффициенты на диагонали  это корреляция переменной с самóй собой.

Чтобы получить больше разрядов в дробной части, увеличим ширину столбца.


Точное значение коэффициента

Функция CORREL / КОРРЕЛ

Второй способ вычисления коэффициента корреляции  это готовая функция

CORREL (array1, array2)

КОРРЕЛ (диапазон_x; диапазон_y).

Два обязательных аргумента  это диапазоны ячеек X и Y. Здесь «иксы» и «игреки» задаются по отдельности. Напомним, что в английской версии программы аргументы функции разделяют запятой, а в русской  точкой с запятой.


Вызов функции CORREL


Увеличиваем ширину столбца и сравниваем результаты расчётов с предыдущим разделом. Пока всё сходится.

Теперь на новом листе сгенерируйте данные с разным разбросом, то есть с разным множителем S в уравнении. Определите значение коэффициента корреляции. Подберите величину случайного разброса, чтобы получить

0,3

0,5

0,7

1,0.

В электронной таблице формулы пересчитываются автоматически, а графики сами обновляются при изменении данных. Поэтому можно будет легко подобрать нужный разброс. Скопируйте графики и соберите их на отдельном листе с комментариями  какая корреляция и какая это теснота связи. При вставке графиков используйте режим вставки как изображение  Picture (U), а не как исходный график. В этом случае картинки не будут изменяться и обновляться.

Формулы

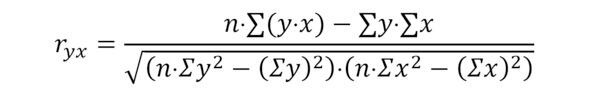
Вычислим коэффициент линейной корреляции вручную с помощью формул Excel.

Вот соотношение для расчётов  см. формулу.


Коэффициент корреляции


Для вычислений нам понадобятся промежуточные расчёты. Найдём суммы «иксов», «игреков», их квадратов и произведений, которые участвуют в формуле. Для этого на новом листе организуем вспомогательную таблицу. Внизу столбцов подсчитываем суммы, воспользовавшись кнопкой экспресс-анализа.

Ваша оценка очень важна

0
Шрифт
Фон

Помогите Вашим друзьям узнать о библиотеке

Скачать книгу

Если нет возможности читать онлайн, скачайте книгу файлом для электронной книжки и читайте офлайн.

fb2.zip txt txt.zip rtf.zip a4.pdf a6.pdf mobi.prc epub ios.epub fb3