Валентин Юльевич Арьков - Статистический анализ взаимосвязи. Учебное пособие стр 3.

Книгу можно купить на ЛитРес.
Всего за 5.99 руб. Купить полную версию
Шрифт
Фон

В нулевом варианте задания X изменяется в пределах от 1000 до 2000. По оси «икс» указываем крайние значения 1000 и 2000 в начале и конце оси.

Теперь оценим диапазон значений Y. Берём формулу для Y, пока без учёта случайности Е:

Y = 1400 +0,065 · X

Подставляем крайние значения X:

Y (1000) = 1400 +0,065 · 1000 = 2050

Y (2000) = 1400 +0,065 · 2000 = 2700

Выбираем масштаб по оси «игрек» от 2000 до 3000.

Получаем 2 точки, через них проводим прямую линию.

Добавим разброс вокруг линии. Для этого используем ПРАВИЛО ТРЁХ СИГМ: почти все значения случайной величины находятся в диапазоне «среднее плюс-минус три сигмы». Когда мы строим разброс вокруг линии, в роли среднего значения будет точка на линии.

В нулевом варианте случайный разброс равен 50 · Е. Случайная составляющая Е имеет единичную дисперсию. Сигма Е тоже будет равна единице, потому что сигма  это квадратный корень из дисперсии. Если умножить случайную величину Е на 50, то её сигма тоже увечивается в 50 раз. Стало быть, сигма равна 50, а три сигмы равно

3 · 50 = 150.

Вокруг первой и последней точек на графике строим разброс «плюс-минус три сигмы».

2050  150 = 1900

2050 +150 = 2200

2700  150 = 2550

2700 +150 = 2850

Проводим пунктиром две параллельные линии. Это будут границы случайного разброса.

Заполняем эту «полосу» точками  случайным образом.

Вот что мы ожидаем увидеть, когда смоделируем исходные данные  см. рисунок.


Зарисовка


Зачем в этой работе мы делаем зарисовку? При любых вычислениях нужно уметь ЗАРАНЕЕ ОЦЕНИВАТЬ и МЫСЛЕННО ПРЕДСТАВЛЯТЬ себе будущие результаты. Тогда сразу будут видны ГРУБЫЕ ОШИБКИ. И эти ошибки можно будет сразу же выявить и исправить. Ну а ошибки будут всегда.

Если не оценивать будущий результат, то можно легко сказать: «Это компьютер так посчитал». Проблема в том, что исходные данные вводит человек и результаты будет использовать тоже человек. Программу тоже написал человек, и не один. Поэтому ОТВЕТСТВЕННОСТЬ за результаты расчётов несёт не компьютер, а человек.

Зарисовка нелинейной функции

Вторая часть задания  это нелинейная функция второго порядка. Варианты заданий приводятся в таблице. Другие названия: квадратичная функция, парабола  см. формулу.



Уравнение параболы можно записать разными способами, поэтому нужно следить за тем, в каком порядке расположены члены уравнения.


Уравнение параболы


В первом примере степени аргумента расположены по убыванию. Во втором  по возрастанию. Как записать уравнение  не так важно. Главное  правильно прочитать те результаты, которые нам выдаст программа.

На новом листе отчёта опишем свой вариант задания. Напомним, что мы в качестве примера рассматриваем нулевой вариант.

Пределы изменения факторного признака: от 1000 до 3000.

Уравнение функции:

y = 7000  7 · x +0,002 · x2 +200 · e

Коэффициенты уравнения:

a0 = 7000

a1 =  7

a2 = 0,002

s = 200

Коэффициент при случайной составляющей E обозначим буквой S, поскольку он определяет значение «сигмы».

Чтобы сделать зарисовку параболы, нужно определить два основных момента.

Вначале определим знак старшего коэффициента при второй степени фактора a2. Если коэффициент a2 положителен, то ветви параболы напрaвлены вверх. И наоборот.

В нулевом варианте старший коэффициент равен

a2 = 0,002.

Коэффициент положительный, следовательно ветви параболы смотрят вверх.

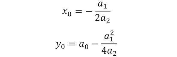
Затем определим положение вершины параболы.


Вершина параболы


Докажите справедливость формул для нахождения координат вершины параболы, приравняв первую производную функции к нулю. Затем подставьте полученное значение х0 в уравнение параболы и упростите выражение.

Подставляем наши коэффициенты и находим координаты вершины  см. формулы.


Координаты вершины

Ваша оценка очень важна

0
Шрифт
Фон

Помогите Вашим друзьям узнать о библиотеке

Скачать книгу

Если нет возможности читать онлайн, скачайте книгу файлом для электронной книжки и читайте офлайн.

fb2.zip txt txt.zip rtf.zip a4.pdf a6.pdf mobi.prc epub ios.epub fb3