Евгений Сергеев - Планирование налогов с помощью MS Excel стр 5.

Книгу можно купить на ЛитРес.
Всего за 239.9 руб. Купить полную версию
Шрифт
Фон

Расчет НДС за первый и последующие кварталы проведен по формуле:


МАКС (СУММ (B12:D12) -СУММ (B13:D13);0)


где СУММ (B12:D12)  сумма исходящего НДС за квартал;

СУММ (B13:D13)  сумма входящего НДС за квартал.

Формула рассчитывает налог за квартал как максимум между нулем и разницей сумм исходящего и входящего НДС. Например, если сумма входящего налога будет больше, чем исходящего, то НДС за квартал будет равен нулю.

В первый квартал НДС к уплате в бюджет составит 1 273 тыс.руб. (894+894+894-470-470-470=1 273).

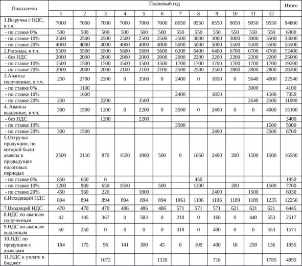
Как правило, организации осуществляют свою деятельность с авансами. Расчет НДС с учетом операций по авансам представлен в таблице ниже.


Таблица 2.2  Налог на добавленную стоимость, тыс.руб.



В третьей строке представлена информация о полученных авансах. При этом к авансам отнесены платежи, поставка по которым будет осуществляться в следующем квартале.

В четвертой строке указаны авансы выданные, к которым отнесены платежи, поставки по которым будут в следующих кварталах. В целом за год сумма выданных авансов составит 15 100 тыс.руб.

В пятой строке отражены объемы реализации, оплата по которым была произведена в предыдущие периоды. Иными словами, это отгрузка продукции, по которой были авансы в предыдущих кварталах.

Исходящий и входящий НДС, НДС по авансам полученным и НДС по авансам выданным, НДС по продукции, по которой были авансы определены с учетом ставок налога. Например, НДС по авансам полученным в первом месяце составит 42 тыс.руб. (20×250/120=42), НДС по авансам выданным  50 тыс.руб. (20×300/120=50), НДС по продукции с авансами -184 тыс.руб. (0×850/100+10×1 200/110+20×450/120=184).

НДС к уплате в бюджет за первый и последующие кварталы определен по формуле:


МАКС (СУММ (B42:D42) +СУММ (B44:D44) -СУММ (B43:D43) -СУММ (B45:D45) -СУММ (B46:D46);0)


где СУММ (B42:D42)  сумма исходящего НДС за квартал;

СУММ (B44:D44)  сумма НДС по авансам полученным за квартал;

СУММ (B43:D43)  сумма входящего НДС за квартал;

СУММ (B45:D45)  сумма НДС за квартал по авансам выданным;

СУММ (B46:D46)  сумма НДС за квартал по продукции с авансами.

Формула определяет НДС к уплате за квартал как максимум между нулем и суммой НДС исходящего и по авансам, уменьшенной на величину входящего НДС, НДС по выданным авансам и НДС по продукции, по которой были авансы в предыдущих периодах.

Например, в первый квартал НДС к уплате составит 1 072 тыс.руб. Исходящий НДС за квартал составит 2 682 тыс.руб., НДС по авансам полученным  554 тыс.руб., входящий НДС  1 409 тыс.руб., НДС по авансам выданным  300 тыс.руб., НДС по продукции с авансами  455 тыс.руб. (2 682+5541 409-300-455= 1 072).

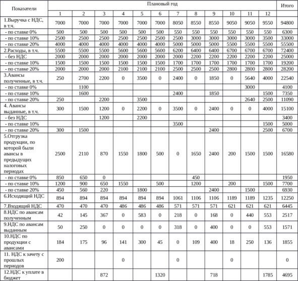
На практике иногда возникает ситуация, когда НДС к уплате меньше нуля (дебетовое сальдо по счету 68.02 «НДС»). Данная величина принимается к зачету в следующих налоговых периодах. Расчет НДС с учетом этого момента представлен в таблице ниже.


Таблица 2.3  Налог на добавленную стоимость, тыс.руб.



НДС к уплате за первый квартал и последующие кварталы определен по формуле:


МАКС (СУММ (В73:D73;B75:D75) -СУММ (B74:D74;B76:D76;B77:D77) -B78;0)


где СУММ (B73:D73;B75:D75)  сумма исходящего НДС и НДС по полученным авансам;

СУММ (B74:D74;B76:D76;B77:D77)  сумма входящего НДС, НДС по выданным авансам и НДС по продукции с авансами.

B78  ссылка на ячейку, в которой указан НДС к зачету с прошлых периодов.

Все исходные данные равны данным из предыдущей таблицы. НДС к уплате за первый квартал меньше величины предыдущей таблицы ровно на его величину к зачету, то есть на 200 тыс.руб. (1072200=872).

НДС к зачету с прошлых периодов на начало второго и последующих кварталов определен по формуле:


ЕСЛИ (СУММ (B73:D73;B75:D75) -СУММ (B74:D74;B76:D76;B77:D77) <0;B78+СУММ (B74:D74;B76:D76;B77:D77) -СУММ (B73:D73;B75:D75);МАКС (0;B78-СУММ (B73:D73;B75:D75) +СУММ (B74:D74;B76:D76;B77:D77)))


где СУММ (B73:D73;B75:D75)  сумма исходящего НДС и НДС по полученным авансам;

СУММ (B74:D74;B76:D76;B77:D77)  сумма входящего НДС, НДС по выданным авансам и НДС по продукции с авансами.

B78  ссылка на ячейку, в которой указан НДС к зачету с прошлых периодов.

Формула вычисляет НДС к зачету следующим образом. Если величина текущего НДС отрицательная, то НДС к вычету будет равен сумме НДС к зачету на начало периода и отрицательного НДС за квартал по модулю. Иначе формула выбирает между нулем и разностью НДС к вычету на начало периода и начисленного НДС за текущий квартал.

Ваша оценка очень важна

0
Шрифт
Фон

Помогите Вашим друзьям узнать о библиотеке

Скачать книгу

Если нет возможности читать онлайн, скачайте книгу файлом для электронной книжки и читайте офлайн.

fb2.zip txt txt.zip rtf.zip a4.pdf a6.pdf mobi.prc epub ios.epub fb3