Геннадий Федорович Вильдяйкин - Исследование и оценка параметров сигналов в распределенных информационных системах. Для студентов технических специальностей стр 5.

Шрифт
Фон

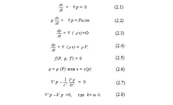
Это волновое уравнение второго порядка для давления, где с  скорость звука.

Если записать выражение для давления гармонического колебания волн и затем подставить его в волновое уравнение (2.7), то получим волновое уравнения Гельмгольца (2.8).


Математическая модель электромагнитного поля

Математическая модель электромагнитного поля представляет систему уравнений электромагнитного поля в полном виде или систему уравнений Максвелла [4].

Электромагнитное поле характеризуются следующими векторными величинами: E и H  векторы напряженности электрического и магнитного полей, D и B  векторы электрической и магнитной индукции, I и Im  плотность токов электрической и магнитной проводимости, ρ и ρm  плотность электрических и магнитных зарядов.

Дифференциальная форма системы уравнений выглядит (3.1  3.7), где  магнитная проницаемость,  диэлектрическая проницаемость,  удельная проводимость

Эти уравнения будут исходными при рассмотрение переменных электромагнитных полей и процессов.

Первое уравнение Максвелла. является дифференциальной формулировкой закона полного тока. Физический смысл 1-го уравнения Максвелла: источниками вихревых магнитных полей являются токи проводимости и токи смещения.

Величина δ в правой части (3.1) есть плотность тока проводимости. Это вектор, указывающий направление движения зарядов.

Законы электромагнетизма  это законы макроскопических процессов, в которых усредняется действие огромных количеств элементарных частиц материи. С точки зрения этих законов, среда представляется сплошной.

Второе уравнение Максвелла (3.2) является дифференциальной формулировкой закона электромагнитной индукции и выражает скорость изменения магнитной индукции В через пространственную производную (rot) напряженности электрического поля Е.

Физический смысл: вихревое электрическое поле создается переменным магнитным полем

Третье уравнение Максвелла является дифференциальной формулировкой теоремы Гаусса для электрических полей. Физический смысл: источниками электрического поля (векторов Е и D) являются заряды с плотностью ρ. Дифференциальные уравнения (3.3) показывает, что расходимость электрической индукции равна объемной плотности заряда.

Четвертое уравнение Максвелла является дифференциальной формулировкой теоремы Гаусса для магнитных полей. Физический смысл. Дивергенция вектора В в любой точке пространства равняется нулю, т.е.  источников нет (магнитные заряды в природе отсутствуют). Нет ни стыков, ни источников. Линии магнитной индукции непрерывны.

Из уравнений (3.1) и (3.3) можно прийти к уравнению (3.8).

Это уравнение непрерывности. Закон сохранения заряда.

Уравнения (3.5), (3.6), (3.7) характеризуют связь векторов поля с материальной средой.

Установим волновой характер ЭМП. При распространении ЭМП с конечной скоростью происходит запаздывание его по фазе, результатом чего является волновой характер распространения. Можно записать первые два уравнения Максвелла в комплексной форме и заменить в них индукции B и D напряженностями rot E и rot H и ввести функцию комплексной диэлектрической проницаемости проводящей среды при монохроматическом поле. Затем получится полная система уравнений монохроматического ЭМП с комплексными проницаемостью и напряженностями E и H. Волновой характер ЭМП этого гармонического во времени процесса в области без источников получается, если исключить вектор E или вектор H из в уравнениях (3.1) и (3.2), применив оператор rot и учитывая, что расходимость (div) вектора H = 0.

Для однородной непроводящей среды волновое уравнение переходит в уравнение Гельмголца, которое запишется в уравнения (3.9  3.10), где k = ω εμ  волновое число.


Об аналогии описания физических полей

Из рассмотренных математических моделей физических полей микромира видно, что гравитационное, акустическое и электромагнитное поля описываются при определенных условиях волновыми уравнениями (1.9, 2.7, 2.8, 3.9, 3.10). Мы имеем ситуацию, когда различные физические явления (поля) описываются аналогичными дифференциальными и другими уравнениями. То есть между физическими явлениями существует аналогия, которая основывается на сходстве уравнений, лежащих в основе описания данных физических явлений

Ваша оценка очень важна

0
Шрифт
Фон

Помогите Вашим друзьям узнать о библиотеке

Скачать книгу

Если нет возможности читать онлайн, скачайте книгу файлом для электронной книжки и читайте офлайн.

fb2.zip txt txt.zip rtf.zip a4.pdf a6.pdf mobi.prc epub ios.epub fb3