Марина Юрьевна Глуховская - Чрезвычайные ситуации и зоны экологического бедствия стр 3.

Шрифт
Фон

Спад производства в большей степени обострил экологическую обстановку на территории Российской Федерации. Загрязненность окружающей среды в большинстве регионов увеличивается, в основном, из-за снижения технического уровня производства, износа технологического оборудования, сокращения капитальных вложений на природоохранные мероприятия. И, как следствие, общий объем выбросов загрязняющих веществ на многих промышленных предприятиях и производственных комплексах Российской Федерации не снижается, а наоборот, увеличивается как в объемах загрязнителей, так и на единицу выпускаемой продукции.

1.2 Характеристика загрязнения окружающей среды в РФ

Особенности экологической обстановки в субъектах Российской Федерации и возникающих в них экологических проблем, в основном, обусловлены местными природными условиями и характером воздействия промышленности, транспорта, коммунального и сельского хозяйства (в зависимости от специфики размещения предприятий, их мощностей, применяемой технологии и т. д.).

Основными факторами антропогенной нагрузки, являются:

 загрязнение атмосферного воздуха в результате выбросов промышленных предприятий и автотранспорта;

 загрязнение водных объектов;

 всевозрастающее количество отходов производства и потребления;

 загрязнение почв, опустынивание и деградация растительного покрова, сокращение видового состава флоры и фауны.

К регионам с высокой антропогенной нагрузкой относятся крупнейшие городские агломерации Московская и Санкт-Петербургская, города с развитой промышленностью Центральной России, Крайнего Севера, Юга Сибири и Дальнего Востока, а также Среднее Поволжье, Северный Прикаспий, Средний и Южный Урал, Кузбасс. Они оказывают заметное негативное влияние на экологическое состояние соседних регионов[2].

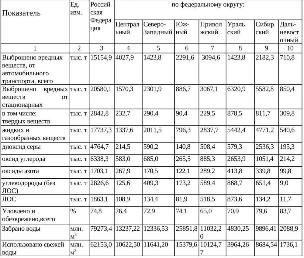
Информация об объемах выбросов загрязняющих веществ в атмосферный воздух от автотранспорта (данные НИИАТ) и от стационарных источников (данные Росстата), об использовании и сбросе воды (данные Росводресурсов) в Российской Федерации за 2006 г. приведены в таблице 1.1.


Таблица 1.1 Основные показатели, характеризующие воздействие на окружающую среду Российской Федерации в 2006 г.



Наблюдения за загрязнением атмосферы проводились в 2006 г. в 251 городе Российской Федерации. В 2005 г. регулярные наблюдения выполнялись в 229 городах и населенных пунктах на 629 стационарных постах Росгидромета.

Результаты наблюдений показывают, что уровень загрязнения атмосферы в городах остается высоким. В 69 % городов, где проводились наблюдения, уровень загрязнения воздуха оценивался как очень высокий и высокий и только в 17 % городов как низкий, в остальных наблюдается экологическое благополучие.

В целом по России 38 % городского населения проживает на территориях, где не проводятся наблюдения за загрязнением атмосферы, а 55 % (58,2 млн. чел.) в городах с высоким и очень высоким уровнем загрязнения атмосферы. В 2006 г. 65 млн. человек проживали в 206 городах, где средние за год концентрации одного или нескольких веществ превышали ПДК.

Приоритетный список городов с наибольшим уровнем загрязнения воздуха в 2006 г. включает 36 городов (таблица 1.2) с общей численностью населения 14 млн. чел. В этот список включены города с очень высоким уровнем загрязнения воздуха, для которых интегральный индекс загрязнения атмосферы (ИЗА) равен или выше 14. По сравнению с 2005 г. этот список уменьшился на 5 городов, а численность населения на 3 млн. чел.


Таблица 1.2 Приоритетный список городов с наибольшим уровнем загрязнения воздуха в 2006 г.

Примечание; Ф формальдегид, ВВ взвешенные вещества, БП бенз(а)пирен, НF-фторид водорода. NО оксид азота, NO2 диоксид азота, СS2 сероуглерод. NH3 аммиак, HCI хлористый водород;

* по данным многолетнего мониторинга и данным о выбросах загрязняющих веществ. Города Приоритетного списка неранжируются по степени загрязнения атмосферы.


В Приоритетный список вошли 10 городов с предприятиями алюминиевой промышленности и черной металлургии, 7 городов с предприятиями химии и нефтехимии, добычи и транспортировки нефтепродуктов и многие города с предприятиями топливно-энергетического комплекса.

В 2006 г. максимальные значения концентраций отдельно взятых вредных веществ в атмосферном воздухе превышали 10 ПДК в 26 городах (таблица 1.3) с численностью населения 14,7 млн. человек. При этом 13 городов вошли в Приоритетный список городов с наибольшим уровнем загрязнения воздуха.

Ваша оценка очень важна

0
Шрифт
Фон

Помогите Вашим друзьям узнать о библиотеке

Скачать книгу

Если нет возможности читать онлайн, скачайте книгу файлом для электронной книжки и читайте офлайн.

fb2.zip txt txt.zip rtf.zip a4.pdf a6.pdf mobi.prc epub ios.epub fb3