Коллектив авторов - Устойчивое развитие особо охраняемых природных территорий и сохранение биологического разнообразия. Материалы Международной научно-практической конференции (г. Ставрополь, 23 апреля 2013 г.) стр 4.

Книгу можно купить на ЛитРес.
Всего за 69.9 руб. Купить полную версию
Шрифт
Фон

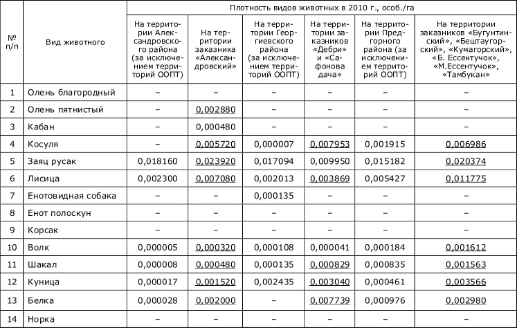
Таблица 1 Сравнительная оценка плотности популяций животных, обитающих на территории муниципальных районов Ставропольского края и обитающих на территориях заказников, находящихся в пределах этих районов (анализ проведен по данным Министерства природных ресурсов и охраны окружающей среды CK на основании зимнего учета численности охотничьих животных на территории Ставропольского края (2010 г.)


Примечание: данные плотности популяций животных представлены из расчета отношения численности их популяций к площадям муниципальных районов и площадям заказников Ставропольского края. Подчеркнуты показатели плотности популяций тех видов животных, которые превосходят таковые на территориях заказников по сравнению с остальной площадью муниципальных районов Ставропольского края.

Указанные проблемы требуют комплексного решения, основанного на глубокой программной проработке всех вопросов.

Список использованных источников:

1. Амельченко В. П. Колесниченко Сохранение биоразнообразия редких видов растений в составе остепненных сообществ на особо охраняемых природных территориях Юга Тюменской области / В. П. Амельченко, Т. А. Рыбина, Л. И. Герасько, Л. Г. // Вестник Томского государственного педагогического университета, 2009,  11. С. 132139.

2. Друп В. Д. Сравнительный анализ биоразнообразия на территории ООПТ «Александровский» и прилегающих к нему охотничьих угодьях // Современные проблемы науки и образования.  2012.   6; URL: www.science-education.ru/106-7500 (дата обращения: 04.02.2013).

3. Исаченко А.Г. Экологическая география России.  СПб.: Изд-во Петерб. ун-та, 2001.  328 с.

4. Кондратьева А. А. Природно-экологический каркас степной зоны (на примере ландшафтов Ставропольского края): автореф. дис.  канд. геогр. наук.  Ростов-н/Д., 1999.  18 с.

5. Кондратьева А. А. К разработке природного каркаса Ставрополья//Вестник СПГУ,  2, 1995.  С. 2730.

6. Лагунов А. В., Смагин А. И. Восточно-уральский государственный заповедник в системе особо охраняемых природных территорий Челябинской области // Вопросы радиационной безопасности.  2007.  S.  С. 4567.

7. Лысенко И. О., Шейкина Н. Н. Особенности экологического каркаса г. Ставрополя и прилегающих территорий // Вестник Тамбовского ун-та. Серия: Естественные и технические науки. 2009. Т. 14.  1. С. 140142.

6. Лысенко И. О., Емельянов А. В., Зеленская Т. Г. Разработка системы биотехнических мероприятий по содержанию и разведению пятнистого оленя (Сervus nippon) в заказнике Стрижамент Ставропольского края // Вестник АПК Ставрополья, 2012.  1 (5). С. 100102.

8. Пелипенко Ю. Г., Лысенко И. О. Научный подход в организации экологической тропы на основании расчета индекса си-нантропизации флоры заказника «Александровский» // Вестник АПК Ставрополья. 2012.  4.  С. 107110.

9. Тишков А. А. Биосферные функции природных экосистем России. М.: Наука, 2005, 309 с.

Е. В. Диреганов

директор ГКУ «Дирекция особо охраняемых природных территорий Ставропольского края», г. Ставрополь

И. О. Лысенко, А. В. Лысенко, М. В. Билько

ФГБОУ ВПО «Ставропольский государственный аграрный университет», г. Ставрополь

Сравнительная оценка заказников Ставропольского края на основе расчета показателя их природоохранной ценности

Аннотация: проведена сравнительная оценка заказников Ставропольского края на основе расчета показателя их природоохранной ценности. Установлено, что наиболее значимыми в природоохранном плане (по данному показателю) являются Прикалаусско-Саблинский, Подкумско-Золкинский и Верхнеегорлыкский природные комплексы.

Ключевые слова: заказники, Ставропольский край, природоохранная ценность особо охраняемых природных территорий (ООПТ), ландшафтно-экологические комплексы.


Сбалансированное экономическое, социальное и экологическое развитие любого региона зависит от сохранения в его пределах пространственно связной системы территориальных образований, имеющих регламентированный режим природопользования, обеспечивающих определенное качество окружающей среды. Эту систему территориальных образований определяют в качестве экологического каркаса.

Сущность концепции природно-экологического каркаса определяют следующие положения: создание развитой системы охраняемых природных территорий как основы природного каркаса; оптимизация структуры ландшафтно-земельного фонда, т. е. формирование и поддержание оптимального соотношения природных и антропогенных ландшафтов, при котором обеспечиваются необходимое биоразнообразие и устойчивость ландшафта; сохранение природного и культурного наследия; сохранение и воссоздание эстетических, исторических, рекреационных и информационных качеств природной среды. Задачи каркаса, формируемого в зоне преобладания степных ландшафтов: сохранение от распашки целины, стабилизация водного режима рек, оптимизация нагрузки на естественные пастбища, охрана и восстановление естественных ландшафтов (Кондратьева А. А., 1995, 1999; Лысенко И.О., Шейкина Н.Н., 2009; Пелипенко Ю.Г., Лысенко И.О., 2012).

Ваша оценка очень важна

0
Шрифт
Фон

Помогите Вашим друзьям узнать о библиотеке

Скачать книгу

Если нет возможности читать онлайн, скачайте книгу файлом для электронной книжки и читайте офлайн.

fb2.zip txt txt.zip rtf.zip a4.pdf a6.pdf mobi.prc epub ios.epub fb3