Юрий Степанович Малов - Хроническая сердечная недостаточность (патогенез, клиника, диагностика, лечение) стр 7.

Книгу можно купить на ЛитРес.
Всего за 100 руб. Купить полную версию
Шрифт
Фон

Наиболее часто инварианты, близкие к ЗП, встречаются в строении и функционировании сердца. Даже расположение сердца в грудной клетке приближается к этой закономерности. Примерно 1/3 сердца располагается в правой половине грудной клетки и 2/3 в левой. Оптимизация работы сердца также обусловлена золотыми числами и их свойствами. Золотые числа составляют основу законов композиции сердечных структур. Каждое звено в системе сердца, начиная от субклеточных элементов кардиомиоцита до сердечной мышцы в целом, оптимально организовано в покое согласно ЗП и претерпевает оптимальные преобразования золотых отношений при физической нагрузке (Цветков В. Д., 1999).

Особенно отчетливо ЗП прослеживается при исследовании временных характеристик деятельности сердца. Известно, что длительность электромеханической систолы практически равна длительности электрической. А это значит, что продолжительность систолы желудочков легко можно определить на ЭКГ по интервалу Q T. Давно отмечено, что при частоте сердечных сокращений, равной 60 ударов в минуту, интервал Q T в среднем равняется 0,385 c, а интервал T Q 0,615 с, что соответствует числам ЗП. Эти числа были получены автором эмпирическим путем и не рассматривались с позиции ЗП, хотя они отражают эту пропорцию. То же самое можно сказать о систолическом показателе (СП), предложенном Л. И. Фогельсоном и И. А. Черногоровым (Фогельсон Л. И., 1957) для диагностики поражений мышцы сердца:



где Q T и R R интервалы ЭКГ.

Н. В. Дмитриева (1989), используя геометрический анализ ЭКГ, установила, что у здоровых людей в геометрической модели кардиоцикла, представленной в виде треугольника, соотношение длительности диастолы, общей систолы и всего кардиоцикла равно 0,388: 0,612: 1, а соотношение продолжительности систолы желудочков и общей систолы составляет 0,6: 1. Эти соотношения близки к ЗП, отклонение составило 5 %. Для характеристики деятельности сердца как целостной системы Н. В. Дмитриева [и др.] (1991) предложили совокупную пропорцию параметров ЭКГ, соответствующую «золотому вурфу» (1,309) и представленную в следующем виде:



где QT, QRS, RR, RQ, R P и R T интервалы ЭКГ.

Это соотношение у здоровых лиц составило 1,285 ± 0,065, т. е. отклонение от «золотого вурфа» было менее 5 %. По данным этих авторов, такое соотношение позволяет характеризовать оптимальный уровень миокардиального гомеостаза. Он определяется по степени координации деятельности миокарда предсердий и желудочков, по асинхронности фаз их сокращения и расслабления.

Наряду с этим, по соотношению отдельных параметров можно описать различные стороны деятельности сердца. Известно, что продолжительность кардиоцикла связана с экстракардиальными системами регуляции, в том числе с симпатическими и парасимпатическими нервами. Авторы утверждают, что отношение общей систолы к длительности кардиоцикла (K1) хорошо отражает экстракардиальную регуляцию сердечной деятельности:



где P Q продолжительность систолы предсердий, Q T продолжительность систолы желудочков, R R продолжительность кардиоцикла.

Нарастание частоты сердцебиений сопровождается увеличением данного показателя, урежение пульса снижением.

П. П. Черныш (2003) предложил использовать отношение полной систолы к кардиоциклу для определения типа регуляции вегетативной нервной системой (симпатической или парасимпатической). Преобладание парасимпатических влияний ведет к уменьшению данного показателя, при симпатикотонии наблюдается противоположная картина. Это отношение позволяет судить о преобладании тонуса симпатического и парасимпатического отделов вегетативной нервной системы более точно, чем индекс Кердо. При наличии ХСН отношение длительности полной систолы к кардиоциклу увеличивается и определяет степень выраженности ХСН, что указывает на активацию симпатической нервной системы.

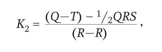
Показателем работы внутреннего контура регуляции сердца, предложенным Н. В. Дмитриевой [и др.] (1991), является отношение длительности систолы желудочков к общей систоле (K2):



где QRS желудочковый комплекс, остальные обозначения те же, что и в предыдущей формуле.

Ваша оценка очень важна

0
Шрифт
Фон

Помогите Вашим друзьям узнать о библиотеке

Скачать книгу

Если нет возможности читать онлайн, скачайте книгу файлом для электронной книжки и читайте офлайн.

fb2.zip txt txt.zip rtf.zip a4.pdf a6.pdf mobi.prc epub ios.epub fb3