Коллектив авторов - Молодые ученые экономике. Выпуск 12 стр 6.

Шрифт
Фон

Таблица 8. Влияние курящих членов семьи на вероятность пробы курения ребенком (в % от числа опрошенных, дети 1995 г.р.)


Еще одной вредной привычкой, которая может оказывать негативное влияние на здоровье детей, является чрезмерное потребление алкогольных напитков. Исследование показало, что если в семье есть практика употребления алкоголя, то 12 % детей в возрасте 12 лет и половина в возрасте 15 лет его тоже пробовали (табл. 9).


Таблица 9. Влияние употребляющих алкоголь членов семьи на вероятность потребления алкоголя ребенком (в % от числа опрошенных, дети 1995 г.р.)


Когда мы говорим о здоровье, то нельзя обойти и двигательную активность. Постоянная физическая нагрузка необходима и полезна, она делает организм выносливее и крепче, повышает его сопротивляемость болезням. Исследование показало, что большинство родителей мало уделяют внимания привитию ребенку навыков физической культуры. Установлено, что дети в 54 % случаев не выполняют утреннюю зарядку, 14 % родителей проводят закаливающие процедуры с детьми и лишь 36 % детей занимаются спортом и физической культурой вне школы. Это проблема не только детского населения. Данные российских исследований, проведенных в 2002 г., свидетельствуют о низком уровне физической активности у 7381 % мужчин и 7386 % женщин в России [12]. Слабая мотивация на проведение закаливающих и укрепляющих семейных мероприятий может являться причиной ухудшения здоровья детей.

На основе данных мониторинга рассчитан интегральный показатель (по адаптированной к условиям Вологодской области методике, предложенной Министерством здравоохранения Республики Беларусь [13]), характеризующий образ жизни детского населения Вологодской области. Интегральный показатель индекс жизнеобеспечения (Иж)  используется для оценки социально-гигиенических условий проживания и воспитания детей в семье. И отражает степень соответствия образа жизни ребенка «оптимальному». Значения индекса могут колебаться от 0 до 1, где 0 наличие неблагоприятных факторов, которые показывают отдельные аспекты образа жизни, а 1 означает оптимальную характеристику образа жизни ребенка.

В методику вошли следующие показатели (критериальные признаки): возраст матери при рождении ребенка; социальное положение матери и ее образование; виды физической активности ребенка; регулярность потребления основных видов продуктов питания; информированность родителей о весе своего ребенка; оценка родителями своих знаний по физиологии и гигиене ребенка, вопросам здорового образа жизни. Было выделено 3 категории оценки критериальных признаков, которым соответствовало три названия: «оптимальный», «субоптимальный», «неоптимальный». Например, для «оптимального» критерия возраст матери при рождении ребенка должен быть до 30 лет, для «субоптимального»  от 30 до 40 лет, для «неоптимального»  свыше 40 лет.

Расчет проводился по следующей формуле:



где N общее число критериальных признаков, отклонения которых влияют на исследуемый интегральный показатель (N=12); k количество категорий оценки критериальных признаков (k=3); i номер категории; ni число значений для i-категории.

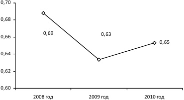
На основе исследования получены следующие результаты. За период с 2008 по 2010 г. наблюдается снижение интегрального показателя, характеризующего образ жизни детей. В 2010 г. образ жизни детей соответствовал «оптимальному» только на 65 % (рис. 3).

При этом следует отметить, что значение интегрального показателя уменьшается с возрастом, что можно видеть из рисунка 4 на примере двух когорт (1995 и 1998 годов рождения).


Рисунок 3. Интегральный показатель соответствия образа жизни детей «оптимальному»


Рисунок 4. Интегральный показатель соответствия образа жизни детей «оптимальному» (на примере когорт 1995, 1998 гг.)


Так, в 2010 г. в когорте 1995 г. в среднем образ жизни детей соответствовал оптимальному на 63 %, снизившись за три года на 5 %. Такая же тенденция прослеживается и в когорте 1998 г. рождения: за трехлетний период показатель снизился на 7 % и в среднем образ жизни детей соответствует «оптимальному» только на 64 %.

Данные интегрального показателя позволили сделать вывод о том, что большинство родителей недостаточно внимания уделяют формированию здорового образа жизни ребенка, в частности привитию навыков физической культуры, правильному и рациональному питанию. По мере взросления ребенка внимание к его здоровью со стороны родителей также ослабевает.

Ваша оценка очень важна

0
Шрифт
Фон

Помогите Вашим друзьям узнать о библиотеке

Скачать книгу

Если нет возможности читать онлайн, скачайте книгу файлом для электронной книжки и читайте офлайн.

fb2.zip txt txt.zip rtf.zip a4.pdf a6.pdf mobi.prc epub ios.epub fb3