Gennady Gromov - Thermoelectric Microgenerators. Optimization for energy harvesting стр 7.

Книгу можно купить на ЛитРес.
Всего за 80 руб. Купить полную версию
Шрифт
Фон

It means to consider efficiencies of thermoelectric generator and DC-DC electrical circuit in a combination to obtain maximal output value (see Chapter 10).

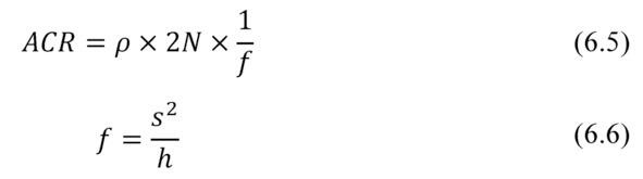
Form-factor of thermoelements

The form-factor f of thermoelements of the generator module determines its total electric resistance.


where f  form-factor of a thermoelement.


Here we neglect the additional resistance of the generator module construction (conductors, places of soldering of thermoelements, resistance of barrier layers). In most cases it is valid, as this additional resistance is insignificant usually in comparison of the sum of resistance of thermoelements (6.5).

Then



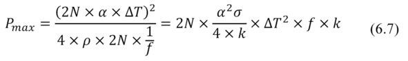
The formula for maximum power Pmax through the generator number of thermoelements N and their form-factor has a finite shape


Thermal resistance

Thermal resistance ȒTEG of thermoelectric generator determines its overall performance.



Formula (6.8) can be converted to a dependence of maximum power Pmax vs thermal resistance ȒTEG of generator.



Figure. 6.2 Power Pmax of generators of different series (developed by TEC Microsystems) vs their thermal resistance ȒTEG at different temperature differences ΔT:Points mark the boundaries of the applicability of these series (1MD02, 1MD03, 1MD04 and 1MD06).


This formula (6.10) and the provided graph (Fig. 6.2) are important for understanding of features of practical applications of generator modules and the choice of optimal solutions.

The power provided by the generator depends on its Figure-of-Merit Z, thermal resistance ȒTEG and temperature difference T.

 Figure-of-Merit Z is defined by properties of the thermoelectric material used in the generator module and a design of the module. For different designs of generators average Figure-of-Merit Z  it a little changeable size is at the level of 2.83.0103 K-1 (Table 7.1).

 Temperature difference T for a specific case is the value set up by the heat source and the environment.

 The only changeable parameter is the thermal resistance ȒTEG. It can vary widely for a particular design of TE generator just by changing the form-factor  by height and cross-section of thermoelements and number of the thermoelements.

Fig. 6.2 shows the broad range of applicability of modules of given nomenclature. It is due to an opportunity in these series to change form-factor (cross-section and height) of thermoelements and its number.

Coefficient of performance

In accordance with (2.21) the efficiency of the thermoelectric microgenerator in the modes of the maximum power (m=1) or maximum efficiency when mopt~1.4 (4.5) is determined only by the performance of the thermoelectric material  Figure-of-Merit Z, temperature difference on the generator module and averaged working temperature (Th+Tc) /2.

For practical estimates the efficiency values at averaged temperature 320K and typical values of Figure-of-Merit Z (Chapter 7, Table 7.1) of generator micromodules are given in Table 6.1.


Table 6.1 Efficiency of generator modules depending on temperature difference (at average temperature 320K).



For the small temperature differences it is possible with good precision to consider that every degree of temperature difference provides: in the mode of the maximum power the efficiency ~ 0.047%, and in the mode of the maximum efficiency ~ 0.048% of the efficiency.

It should be noted, at increasing of average temperature the efficiency falls down (see Chapter 7). For example, in Chapter 4 it has been shown that at average temperature 300K by one degree of temperature difference the efficiency is about 0.05% (Table 4.1).

From Table 6.1 it follows that at a temperature slightly above (320K)  efficiency per one degree is slightly lower (~ 0.047%). It is explained by temperature dependences of thermoelectric material of the generators (Chapter 7, Fig. 7.3).

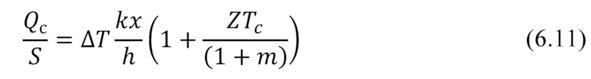
Heat flow density

At given efficiency the total converted power will be determined by heat flow Qc passing through the generator module. And it is set by the capacity of the heat source and the heat transport capacity (inverse of thermal resistance) of the generator itself. These characteristics must be coordinated.

For coordination it is useful to operate with value of heat flow density on unit of the heat giving surface and heat flow density which is passed by unit of generator surface.

Heat flow density (2.26) is given by the formula:


where x  packing density of pellets in TE generator module; k  thermal conductivity of the thermoelements (pellet) thermoelectric material.


where δ  distance between thermoelements, a  cross-section of the thermoelement.


For practical estimates the data for heat flow density for various types of generator micromodules are provided in Table 6.4.

Thus, at the given temperature difference and the given characteristic of heat conductivity of material of the generator module, heat flow density depends on density of packing of thermoelements in the module design (6.11). The more densely they are packed (less gap between thermoelements), the generator is more powerful.

Density of heat flow passing through the generator characterizes its specific power. This specific characteristic allows calculating of absolute values of a heat flow through the chosen generator module.

Comparison of heat flow density of the heat giving surface and density of a heat flow via the generator gives the answer to a question whether it is necessary in a design of the generator device the big surface of heat collecting. I.e. whether it is necessary to collect and concentrate heat on the generator for his effective work.


Table 6.2. The density of heat flow through different types of generator micromodules at various temperature differences.



From Table 6.2 it is seen that heat flow density via the generator micromodule can reach several units of W/cm2. To provide such power densities may require heat flow concentrators from heat source (case of low power heat source).

Ваша оценка очень важна

0
Шрифт
Фон

Помогите Вашим друзьям узнать о библиотеке

Скачать книгу

Если нет возможности читать онлайн, скачайте книгу файлом для электронной книжки и читайте офлайн.

fb2.zip txt txt.zip rtf.zip a4.pdf a6.pdf mobi.prc epub ios.epub fb3