Ramon Diez Galan - 24 Horas, historia de un secuestro стр 3.

Шрифт
Фон

Cristina es lo más parecido a una amiga que Roberto tiene en la ciudad, es la alegría en persona, nunca parece estar cansada ni tener problemas, es una de las pocas personas que consiguen hacerle sonreír sólo con una mirada.

 Necesito información sobre Natasha Petrova, su antigua dirección en San Vicente y antecedentes penales, necesito saber si ha hecho algo ilegal en su vida, también quiero una patrulla de policía vigilando delante de su casa las próximas veinticuatro horas.

 Muy bien, si descubro algo te llamo a tu teléfono móvil. Si hay algo interesante de nuestra nueva amiga yo lo voy a encontrar.  la secretaria contesta con su voz dulce.

 Y también mira a ver si encuentras algo de la discoteca Mermelada o de su dueño Andrei Antonescu. Tengo que colgar el teléfono, gracias Cristina.

 Gracias a ti Roberto por la invitación a cenar.

 ¿Invitación a cen?  Roberto no puede terminar la frase porque su compañera cuelga el teléfono entre risas.

Próxima parada, bar «El Castillo».

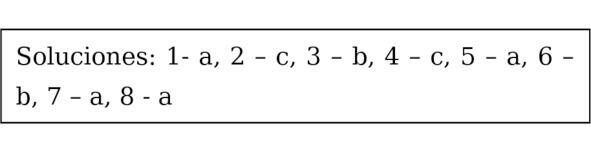
EJERCICIOS

1. Roberto no .. (poder) dormir.

a) ha podido b) he podido c) hemos podido


2. El Mimi .. (tener) un problema con Andrei.

a) he tenido b) teniendo c) ha tenido


3. A Andrei no .. (gustar) Natasha.

a) me gusta b) le gusta c) te gusta


4. El inspector .. (buscar) al primo del Mimi.

a) estoy buscando b) busco c) está buscando


5. Roberto .. (querer) hablar con Andrei.

a) quiere b) quiero c) he querido


6. El capitán no .. hablar al inspector.

a) lleva b) deja c) prepara


7. Natasha no .. a la familia del Mimi.

a) conoce b) sabe c) va


8. Andrei dice que .. toda la noche en la discoteca.

a) ha estado b) ha ido c) ha sido


01:35


Barrio de San Gabriel, Alicante


A pesar de conocer bien la zona le ha costado demasiado encontrar el bar donde trabaja Daniel, el primo del «Mimi». Parece el típico bar español donde día tras día se reúnen los amigos del barrio para tomar unas cañas y tapas. A través del cristal puede ver a los últimos clientes despedirse del camarero que limpia la barra y la cafetera. Roberto piensa que ha llegado en el momento perfecto para tener una conversación discreta.

 Buenas noches, inspector Sánchez de la Policía Nacional. ¿Trabaja aquí Daniel? Quiero hacerle unas preguntas.

El camarero deja de limpiar la barra, lanza el trapo al fregadero y se acerca para contestar.

 Sí, yo también quiero hacerle una pregunta a Daniel, que por qué no ha venido esta noche a trabajar, hemos tenido el bar lleno y he estado aquí yo solo.

 Y ¿no ha avisado?

 Pues no, no ha dicho nada. Aquí he estado toda la noche esperando y trabajando como un tonto. ¿Qué ha pasado? ¿Ha hecho algo malo? a ese chico le gusta meterse en problemas.

 Busco a su primo Miguel Fernández, el «Mimi».

 ¿El de la tele?

 Sí, el mismo, ¿sabes algo de él?

 Sé que es un borracho7 y que cuando viene aquí se bebe todo lo que tenemos con alcohol. Estoy seguro de que gana muchísimo dinero con esos reality show tontos de la tele, pero cuando viene aquí nunca me da propina No deja encima de la mesa ni siquiera las moneditas de un céntimo ¡Desgraciado!

 ¿Sabes dónde puedo buscar a Daniel?

 Su casa no está lejos de aquí, te escribo la dirección.

01:42

Roberto sabe perfectamente dónde tiene que ir, a pesar de llevar poco tiempo trabajando en la ciudad ya ha tenido que ir en varias ocasiones a la dirección que tiene entre sus manos. Es un viejo bloque de edificios donde hay más problemas que en todo el continente africano, la mayoría de los vecinos son gitanos y se dedican a vender cosas en los mercadillos de la ciudad, en varias ocasiones productos robados o ilegales. El inspector aparca el coche a unos cien metros del edificio, camina en dirección al portal cuando ve una cara que le resulta familiar, un ladrón llamado el Culebra, bien conocido por todos los policías de la ciudad. Es un chico joven, pequeño como un colibrí pero ágil y escurridizo8 como una serpiente, de ahí su apodo. Está saliendo de una furgoneta vieja aparcada en la calle.

Aunque tiene solamente 24 años, el Culebra ya ha estado dos veces en prisión, ambas por robo. Sus principales víctimas son los turistas que disfrutan del sol en las terrazas de las cafeterías o en la playa del Postiguet, cuando salen del mar se llevan la sorpresa de que sus teléfonos o carteras han desaparecido. La policía ha estado buscando a un ladrón de sus características en las últimas semanas por el robo de una moto pero no han podido localizarlo en su antigua dirección, parece que es aquí donde se ha escondido.

Roberto sabe que no debe desviarse de su misión pero lo tiene tan cerca que no puede resistirse, se acerca disimuladamente mirando al suelo, sin embargo el Culebra ve su cara, le reconoce a pesar de que no lleva el uniforme de policía y escapa corriendo a toda prisa por la calle.

 ¡Alto! ¡Policía!  el inspector grita al tiempo que corre.

Roberto tiene una buena condición física pero parece que el delincuente al que persigue también es un buen corredor, entran por una estrecha calle a toda velocidad, el Culebra salta una pequeña valla ágilmente, Roberto le sigue sin darse cuenta de que su teléfono móvil se le cae del bolsillo9.

Del jardín pasan a una calle más grande, poco a poco el agente de policía gana terreno, 5 metros más y lo atrapa. La gente que está en la calle mira la carrera como un espectáculo pero nadie intenta detener al delincuente. Pasan por una oscura plaza donde hay varios grupos de jóvenes que se ríen al ver la situación.

 ¡Policía! ¡Alto!

Nadie hace nada. El Culebra gira noventa grados apoyando su mano en una farola, avanza unos metros y vuelve a girar con la ayuda de un semáforo, de nuevo entra en la calle donde ha empezado la persecución. El delincuente corre a toda velocidad hacia su furgoneta, puede sentir poco a poco como el inspector se acerca a su espalda.

Roberto duda si sacar la pistola o no, si lo hace puede terminar con la persecución con un buen disparo en la pierna, pero también puede terminar trágicamente si el disparo resulta mortal. Ya casi lo tiene a su alcance, sólo 3 metros más, decide no sacar la pistola, está seguro de que va a atrapar a ese delincuente que ya parece agotado.

El Culebra entra por una puerta de madera que está abierta, es un edificio viejo, Roberto le sigue. Bajan unas escaleras que conducen al sótano, la única iluminación que hay son las luces de emergencia naranjas. Entran en una sala oscura, dentro están los contadores de agua y la caldera10 del edificio, el agente está muy cerca de atrapar a su presa, al final de la sala hay una pared, las opciones de escapar son cada vez menos para el Culebra.

Ваша оценка очень важна

0
Шрифт
Фон

Помогите Вашим друзьям узнать о библиотеке

Скачать книгу

Если нет возможности читать онлайн, скачайте книгу файлом для электронной книжки и читайте офлайн.

fb2.zip txt txt.zip rtf.zip a4.pdf a6.pdf mobi.prc epub ios.epub fb3