Петр Васильевич Путенихин - Правила счета элементов бесконечного множества стр 8.

Книгу можно купить на ЛитРес.
Всего за 0.01 руб. Купить полную версию
Шрифт
Фон

Собственно говоря, нумерация элементов массива и означает присвоение конкретному элементу некоторого определенного номера, как бы навешивание на элемент таблички с номером. Поэтому выбрав элемент, мы можем увидеть его номер, а выбрав номер, узнать, какому элементу он принадлежит. В рассмотренном случае с нумерацией точек линии натуральный порядковый номер, например, 12 389 принадлежит точке на линии со значением 0,98321. Наоборот, точка линии со значением, например, 0,5612999 имеет в массиве порядковый номер 9 992 165.

Такой же алгоритм можно использовать и для нумерации точек плоских или объемных, многомерных объектов, например, точек куба. В случае многомерных объектов номер преобразуется к виду (3) по методу Кантора, созданного им для отождествления точек линии и квадрата [3, с.77].

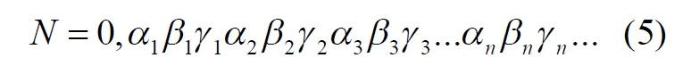
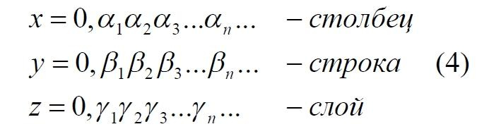
Предположим, некая точка куба имеет следующие координаты, в которых буквы α, β и γ обозначают любую цифру в этих числах:



Используя метод Кантора, формируем из этих чисел новое число:



Отсутствующие цифры для какого-либо индекса заменяем нулями. Дробную часть полученного комбинированного числа инвертируем, поворачиваем "задом наперед", согласно (3), и получаем натуральный порядковый номер рассмотренной точки куба. Например, точка куба с координатами p(x, y, z) = (0,123; 0,321; 0,9171) при комбинировании даст число N=139 221 317 001, что означает порядковый номер точки в бесконечном их массиве, равный 100 713 122 931. Понятно, что обратным преобразованием можно так же найти координаты любой точки по её номеру. Например, точка с порядковым номером 1 234 567 890 имеет в кубе координаты p(0,0741; 0,963; 0,852). Рассмотренный вариант относится к кубу с единичным ребром, но он может быть легко расширен на куб с любым размером ребра, а также на объекты вообще с любым числом измерений.

Наконец, метод позволяет перенумеровать и составные элементы: комплексные числа, кватернионы и тому подобные. Например, комплексное число можно представить в виде



В этой записи буквами α и γ обозначены целая часть числа реальной и мнимой части, а буквами β и δ, соответственно, их дробные части. Например:



Количество цифр α, β, γ и δ в записях может быть любым. Теперь, используя метод комбинации, можно получить число N, инверсная запись которого и будет обозначать натуральный порядковый номер этого числа в их бесконечном массиве. Например, приведенное выше комплексное число будет иметь в бесконечном массиве всех возможных комплексных чисел натуральный порядковый номер 200 123 021 325. Кстати, можно заметить, что в таком массиве первые 10 чисел (09) являются реальными, а число i (комплексная единица) находится на позиции 100 и имеет порядковый номер 10. Также заметим, что при таком подходе основой всех чисел являются вещественные числа, а различные комплексные и им подобные это простая комбинация этих базовых чисел. Условно говоря все эти комбинационные числа являются своеобразной тенью, миражом чисел реальных.

Нетрудно заметить, что нумерация комплексных чисел тождественна нумерации точек квадрата. В этих частных случаях можно легко применить для их нумерации традиционный диагональный процесс Кантора.

Далее, если составить множество строк, подобных выражению (3), в каждой из которых вместо нуля теперь уже будут записываться последовательные натуральные числа, то образуется квадратная таблица, матрица, содержащая все без исключения положительные действительные числа. То есть, запись (3) будет иметь следующую расширенную форму:



где x, y это обычные натуральные числа, которые, как и выше, записаны в обратном порядке, "задом наперед", что обозначено обратными стрелками над ними. Нетрудно догадаться, что эти числа могут обозначать соответствующие координаты точек квадрата.

Дублирование строк со знаком минус добавит в таблицу и все отрицательные действительные числа. Если теперь записать матрицу координат его точек по выражению (5) для их подсчета диагональным процессом Кантора [3, с.70], то полученная запись будет иметь вид:



Нетрудно заметить, что такая запись содержит весь бесконечный ряд действительных чисел, причем слева (столбцом) и справа от запятой записаны независимые ряды в диапазонах значений от 0 до 1. Понятно, что ряд слева от запятой нужно читать справа налево, добавив в начале него 0 и запятую.

Ваша оценка очень важна

0
Шрифт
Фон

Помогите Вашим друзьям узнать о библиотеке

Скачать книгу

Если нет возможности читать онлайн, скачайте книгу файлом для электронной книжки и читайте офлайн.

fb2.zip txt txt.zip rtf.zip a4.pdf a6.pdf mobi.prc epub ios.epub fb3