Казанцев Александр Петрович - Коэффициент любви, или Тайна нуля стр 46.

Шрифт
Фон

8

X + Y = Z в целых числах, n =…

9

Примечание автора для особо интересующихся.

Z - целое число: Z = Z ∙ Z; Z = A + B; Z = Z(A + B) = A ∙ Z + B ∙ Z = Коэффициент любви, или Тайна нуляКоэффициент любви, или Тайна нуляКоэффициент любви, или Тайна нуля a и b - любые натуральные числа; Z = (az) + (bz); X = az; Y = bz; X, Y - будут целыми числами; и Z = X + Y

10

Примечание автора для особо интересующихся.

Микросистема любой элементарной частицы, в том числе и составляющих квантов вакуума, имеет собственную частоту колебаний, как и обычная система тел и сил, связанных между собой в макромире (например, мост, разрушающийся от попавшего в резонанс строевого шага солдат), и в случае резонансного воздействия на нее внешнего источника может разрушиться, высвобождая свою энергию связи. У элементарных частиц она колоссальна. Так, если сравнить энергию горения, атомную и энергию связи микрочастиц, то это будет: горящая спичка, костер и рядом - пылающее светило. Высвобождение этой энергии может быть и регулируемым или (при выходе из-под контроля) спонтанным, взрывоподобным. Даже на околоземной орбите такой внутривакуумный пожар привел бы к возникновению на этом месте новой звезды.

11

Как он официально сообщил, использованы были методы гамма-спектрометрический, нейтронно-радиационный, рентгено-радиометрический, позволяющие без разрушения образца определить 30–40 составляющих его элементов, хотя бы они были включены всего лишь сотней атомов. (Прим. автора).

12

Высказывания исследователей вашкской находки кандидата технических наук В. Н. Миллера, кандидата технических наук В. Фоменко и кандидата физико-математических наук О. Горбатюка приведены в газете "Социалистическая индустрия" 27 января 1985 года. (Прим. автора).

13

"Наука и жизнь" № 6 за 1986 г. (Прим. автора).

14

Казанцев А. Роман "Подводное солнце". Собр. соч. М., Молодая гвардия, т. 1, стр. 77.

15

Этот случай произошел с другом автора, старым большевиком, академиком Иваном Михайловичем Майским, советским послом в Англии во время Великой Отечественной войны, участником переговоров руководителей антигитлеровской коалиции в Тегеране и Ялте. Он, несправедливо обвиненный после окончания войны в смертных грехах, мог выдержать тяжелое испытание, создавая в одиночном заключении по памяти двадцать авторских листов о его путешествии через Иран вокруг Африки в Англию, где должен был представлять Советский Союз. Выйдя из заключения полностью реабилитированным и получив от стенографистки продиктованный ей по памяти роман, он передал рукопись автору этих строк, считая его крестным отцом этого произведения, с просьбой помочь его опубликованию, что и было сделано. Роман "Близко - далеко" вышел в издательстве "Детская литература" Министерства просвещения РСФСР в 1958 году, а вся эта эпопея описана в автобиографической повести "Пунктир воспоминаний" (Казанцев А. Льды возвращаются. М., Молодая гвардия, 1981). (Прим. автора).

16

По преданиям моряков - первый солнечный луч - "луч счастья", прошедший сквозь толщу вод. (Прим. автора).

17

Из сонета автора.

18

Примечание автора для особо интересующихся.

Такой нуль в виде коэффициента масс можно безбоязненно вводить в формулу Лоренца, ибо в формуле есть радикал, а под корнем его единица, из которой вычитается квадрат отношений скоростей: Коэффициент любви, или Тайна нуля, и математически скорость движения тела не может быть больше скорости света! Под корнем появилось бы отрицательное число, и все выражение стало бы мнимым, свидетельствуя об абсурдности сверхсветовой скорости.

19

Примечание автора для особо интересующихся.

По Эйнштейну, формула Лоренца дает значение времени Т на летящем теле при его скорости - V, скорости света - С и времени Т0 на оставшемся теле: Коэффициент любви, или Тайна нуля. Если отношение массы улетевшего тела - m и оставшегося (Вселенной) - М, Коэффициент любви, или Тайна нуля, то при умножении на λ всей формулы она теряет смысл, а при умножении под корнем отношения квадратов скоростей подкоренная величина превращается в единицу и Т = Т0, что следует из теории абсолютности. Однако при введении коэффициента отношения масс под корень слагаемых со знаком минус формула обретает вид: Коэффициент любви, или Тайна нуля и дает прежнее численное значение для времени Т, но математически не допускает перемены мест числителя и знаменателя, то есть становится мнимой величиной, свидетельствуя о неверных условиях, положенных в основу формулы.

20

Примечание автора для особо интересующихся.

При введении под корень коэффициента масс Коэффициент любви, или Тайна нуля, где m - масса улетевшего тела, а М - масса Вселенной, сомножителем к отношению квадрата скоростей получается Коэффициент любви, или Тайна нуля, поскольку Коэффициент любви, или Тайна нуля.

21

Примечание автора для особо интересующихся.

Напомним, что в этом случае формула Лоренца, определяющая сокращение длины и времени, в таком виде не допускает перемены мест масс улетевшего и оставшегося тел (связанного притом со всей Вселенной): Коэффициент любви, или Тайна нуляКоэффициент любви, или Тайна нуля при Коэффициент любви, или Тайна нуляКоэффициент любви, или Тайна нуляКоэффициент любви, или Тайна нуля - мнимая величина.

22

"Техника - молодежи" № 5 за 1969 г.

23

Примечание автора для особо интересующихся.

Предположение о том, что Марс приблизился к Солнцу, основано на том, что на его поверхности многочисленными наблюдениями обнаружены высохшие русла рек и берега былых водоемов. Внезапная потеря Марсом всех запасов воды, а также более легких частиц атмосферы, в первую очередь паров воды, кислорода, а вслед за тем и азота, при сохранении углекислоты в той же пропорции к его былой атмосфере, как и в атмосфере земной, вполне научно объясняется повышением солнечной энергии, захватываемой частицами верхних слоев атмосферы, придающей им скорость, превышающую (при сравнительно малой массе Марса по отношению к земной) "скорость убегания", когда частичка отрывается от планеты и улетает в космическое пространство. Так Марс после гибели Фаэтона, приблизясь к Солнцу, и потерял и воду, и пригодную для жизни атмосферу.

24

См.: На суше и на море, М., "Мысль", 1983.

25

Примечание автора для особо интересующихся.

После отлета Нади Крыловой профессор Бурунов, разрабатывая ее идею, опубликовал серию статей с выводом значений субсветовых скоростей разлетающихся тел. Он учел не только отношение масс разлетающихся тел m1 и m2 к массе точки их разлетания, связанной со Вселенной и равной бесконечности Коэффициент любви, или Тайна нуля по Крыловой, но и отношения скоростей движущихся тел к скорости света Коэффициент любви, или Тайна нуля и Коэффициент любви, или Тайна нуля.

Соответственно приему Крыловой он ввел три радикала, и формула Бурунова приобрела вид относительной скорости тел:

Коэффициент любви, или Тайна нуля

Ясно, что при превышении любой из скоростей скорости света б или в становятся больше единицы и радикал станет мнимым, равно как и г всегда будет равна нулю, когда произведение масс, разделенное на бесконечность, определяет величину г, равную нулю. Если же посчитать, что Вселенная движется, скажем, вокруг оси детского волчка, то и этот радикал становится мнимым.

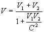
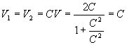
Когда же б = в = 1, то есть V1 = V2 = C при γ = 0, получается классическая формула релятивистской физики:

Коэффициент любви, или Тайна нуля и при Коэффициент любви, или Тайна нуля,

что, казалось бы, могли учесть собеседники Берегового.

Ваша оценка очень важна

0
Шрифт
Фон

Помогите Вашим друзьям узнать о библиотеке