![Пауль Хоровиц, Уинфилд Хилл - Искусство схемотехники. Том 1 [Изд.4-е]](/page_images/7/8e7bbb409e624e9696159330b239e609.jpg)
Рис. 1.49.При использовании синусоидального сигнала ток через конденсатор опережает напряжение по фазе на 90°.
На интервалах А и С на конденсатор поступает некоторая мощность (правда, скорость ее изменения переменна), и благодаря этому он заряжается: накапливаемая конденсатором энергия увеличивается (мощность - это скорость изменения энергии). На интервалах В и D потребляемая мощность имеет отрицательный знак - конденсатор разряжается. Средняя мощность за период для нашего примера равна нулю; этим свойством обладают все реактивные элементы (индуктивности, конденсаторы и всевозможные их комбинации). Если вы знакомы с интегралами от тригонометрических функций, то следующее упражнение поможет вам доказать это свойство.
Упражнение 1.18. (дополнительное). Докажите, что схема в среднем за полный период не потребляет мощности, если протекающий через нее ток сдвинут по фазе относительно питающего напряжения на 90 °.
Как определить среднюю потребляемую мощность для произвольной схемы?
В общем случае можно просуммировать произведения U·I и разделить сумму на длительность истекшего интервала времени. Иными словами
![Искусство схемотехники. Том 1 [Изд.4-е]](/page_images/7/b8834643f425226f8b5c415297f62497.jpg)
где Т - полный период времени.
Практически так мощность почти никогда не определяют. Нетрудно доказать, что средняя мощность определяется следующим выражением:
P = Re(U*I) = Re(UI*),
где U и I - эффективные комплексные значения напряжения и тока.
Рассмотрим пример. Допустим, что в предыдущей схеме конденсатор питается синусоидальным напряжением, эффективное значение которого равно 1 В. Для простоты будем выполнять все преобразования с эффективными значениями.
Итак: U = 1, I = U/(j/ωC), Ρ = Re[UI*] = Re(jωC) = 0. Мы получили, что средняя мощность, как и утверждалось, равна нулю.
А теперь рассмотрим схему, показанную на рис. 1.50.
![Искусство схемотехники. Том 1 [Изд.4-е]](/page_images/7/e07ac03f5bfacfcbc89e8c7f95f84ce4.jpg)
Рис. 1.50.
Выполним ряд преобразований:
Z = R - j/ωC,
U = U0,
I = U/Z = U0/[R - j/ωC] = U0/[R + (j/ωC)]/[R + (1/ωC)],
Ρ = Re(UI*) = U0·R/[R + (1/ωC)].
В третьей строке преобразований при определении тока I мы умножили числитель и знаменатель на комплексное число, сопряженное знаменателю, для того чтобы получить в знаменателе действительное число. Полученная величина меньше, чем произведение амплитуд U и I; ее отношение к этому произведению называют коэффициентом мощности:
![Искусство схемотехники. Том 1 [Изд.4-е]](/page_images/7/1d20f6dd7e4cbe6e2a42dd0da2b12807.jpg)
Коэффициент мощности - это косинус угла, определяющего сдвиг фаз напряжения и тока, он лежит в диапазоне от 0 (для реактивной схемы) до 1 (для резистивной схемы). Если коэффициент мощности меньше 1, то это значит, что в схеме присутствует реактивный элемент.
Упражнение 1.19. Докажите, что вся средняя мощность предыдущей схемы рассеивается на резисторе. Для того, чтобы решить эту задачу, нужно определить величину отношения UR/R. Определите, чему будет равна эта мощность в ваттах, если цепь, состоящая из последовательно соединенных конденсатора емкостью 1 мкФ и резистора сопротивлением 1 кОм, подключена к силовой сети с эффективным напряжением 110 В (частота 60 Гц).
Коэффициент мощности играет немаловажную роль в распределении больших мощностей, так как реактивные токи не передают нагрузке никакой полезной мощности, зато вызывают нагрев в сопротивлениях проводов генераторов и трансформаторов (температура нагрева пропорциональна IR). Бытовые потребители электроэнергии платят только за "действительную" потребляемую мощность [Re(UI*)], а промышленные потребители - с учетом коэффициента мощности. Вот почему большие предприятия для погашения влияния индуктивных реактивных сопротивлений производственного оборудования (моторов) сооружают специальные конденсаторные блоки.
Упражнение 1.20.Покажите, что последовательное подключение конденсатора емкостью С = 1/ωL к последовательной RL-цепи делает коэффициент мощности этой цепи равным единице. Затем рассмотрите параллельную цепь и параллельно подключенный конденсатор.
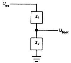
Делители напряжения: обобщение. Простейший делитель напряжения (рис. 1.5) состоит из пары последовательно соединенных резисторов. Входное напряжение измеряется в верхней точке относительно земли, а выходное-в точке соединения резисторов относительно земли. От простейшего резистивного делителя перейдем к более общей схеме делителя, если один или оба резистора заменим на конденсатор или индуктивность, как, на рис. 1.51 (в более сложной схеме присутствуют и R, и L, и С).
![Пауль Хоровиц, Уинфилд Хилл - Искусство схемотехники. Том 1 [Изд.4-е]](/page_images/7/44402968afd13dda73ce482708e9659f.jpg)
Рис. 1.51.Обобщенная схема делителя напряжения: пара электрических цепей с произвольным импедансом.
Вообще говоря, в таком делителе отношение Uвых/Uвх не является постоянной величиной, а зависит от частоты. Анализ схемы выполняется без всяких хитроумных приемов:
I = Uвх/Zполн,
Zполн = Z1+ Z2,
Uвых = Z2 = Uвх[Z2/(Z1+ Z2)].
Не будем сосредоточивать внимание на полученном результате, рассмотрим лучше некоторые простые, но очень важные примеры.
1.19. RС-фильтры
Благодаря тому что импеданс конденсатора, равный ZС = -j/ωС, зависит от частоты, с помощью конденсаторов и резисторов можно строить частотно-зависимые делители напряжения, которые будут пропускать только сигналы нужной частоты, а все остальные подавлять. В этом разделе вы познакомитесь с примерами простейших RС-фильтров, к которым мы будем неоднократно обращаться в дальнейшем. В гл. 5 и приложении 3 описаны более сложные фильтры.
Фильтры высоких частот. На рис. 1.52 показан делитель напряжения, состоящий из конденсатора и резистора.
![Искусство схемотехники. Том 1 [Изд.4-е]](/page_images/7/0a0da2c3753088965ad560d96dc831ce.jpg)
Рис. 1.52.Фильтр высоких частот.
Согласно закону Ома для комплексных величин,
![Искусство схемотехники. Том 1 [Изд.4-е]](/page_images/7/f6226229ac187489d127722d726ed2f4.jpg)
(Окончательный результат получен после умножения числителя и знаменателя на комплексное число, сопряженное знаменателю.) Итак, напряжение на резисторе R равно