![Искусство схемотехники. Том 3 [Изд.4-е]](/page_images/5/097e40752ef8a82ba4cbdd902f2d0e36.jpg)
где обратный ток базы Iб. выкл отрицателен при токах базы, обеспечивающих "разряд" заряда в базе. Коэффициент К определяется "временем жизни неосновных носителей", которое сильно уменьшается при легировании золотом. Однако такое легирование уменьшает h21э и увеличивает ток утечки. Этим объясняется высокое быстродействие ТТЛ, а также их низкое напряжение пробоя (порядка 7 В). Времена рассасывания могут быть очень большими и составлять несколько сотен наносекунд, что примерно на порядок превышает времена задержки при включении. Так, например, распространенный прибор общего назначения 2N3904 имеет максимальное время задержки 35 нc, а время рассасывания 200 нc при стандартных условиях проверки, когда на базу подается отрицательное смещение, равное падению напряжения на двух прямосмещенных диодах. Поскольку времена рассасывания существенно ограничивают быстродействие переключательных схем, приходится применять меры для решения проблемы насыщения.
Один из способов заключается в том, чтобы исключить вовсе состояние насыщения у транзистора. Включенный в обратную связь диод Шоттки ("связь Ваker'a") между базой и коллектором прекрасно выполнит эту задачу, отбирая избыточный ток базы, когда транзистор близок к насыщению и потенциал коллектора ниже, чем у базы. Это предотвращает насыщение транзистора, так как напряжение прямосмещенного диода Шоттки меньше напряжения прямосмещенного перехода коллектор-база. Этот метод использован в ТТЛ-логических схемах с диодами Шоттки (ТТЛ-Ш). Часто небольшой "ускоряющий" конденсатор (25-100 пФ), параллельный резистору в цепи базы, хорошо дополняет этот прием, поскольку способствует уменьшению времени рассасывания, обеспечивая дополнительные импульсы тока, способствующие "разряду" базы, когда транзистор насыщен, а также быстрому нарастанию тока базы, когда транзистор включается. Эти схемы показаны на рис. 13.54.
![Пауль Хоровиц, Уинфилд Хилл - Искусство схемотехники. Том 3 [Изд.4-е]](/page_images/5/dbcd4507ba80c91acb34326e4dc7fa5d.jpg)
Рис. 13.54.Схемы ключей с повышенным быстродействием. а - с диодом Шоттки; б - с ускоряющим конденсатором.
13.24. Устройства аналогового моделирования
Очевидно, что проектирование как высокочастотных усилителей, так и быстродействующих ключей, сложная тема, особенно при полном наборе эффектов, вызываемых присущими им паразитными емкостями и индуктивностями. Наши упрощенные модели дают возможность хорошо прочувствовать схему, но они часто могут быть неадекватными, если вы попытаетесь выжать максимально удовлетворительные характеристики из усилителей, например, в области ГГц. Традиционное приближение состоит из сочетания более сложного моделирования (подкрепленное значительными расчетами!) и большого количества макетных плат.
Приятные разработки получаются с использованием уже развитых систем автоматического аналогового моделирования, в частности программы, называемой "SPICE" и ее некоторых коммерческих расширений. SPICE (автор L. W. Nagel) моделирует работу вашего опытного варианта схемы (используя библиотеку усложненных моделей элементов), предсказывает коэффициент усиления, искажения, шумы, частотный отклик и т. д. Вы можете попросить систему показать форму сигнала (напряжения и тока) в любой точке схемы - компьютерный осциллограф! Таким образом, вы можете проигрывать различные варианты вашей гипотетической схемы, увеличить быстродействие конденсаторов, проводить испытания элементов, делать замены в схеме и т. д. Фактически, при хорошем моделировании можно исследовать влияние допустимых отклонений параметров элементов путем либо обычного анализа сбоев, либо проводя более сложную статистическую обработку методом "Монте-Карло". Некоторые программы моделирования выполняют также анализ "чувствительности", который указывает вам элементы, в наибольшей степени определяющие характеристики схемы.
Программы автоматического моделирования недороги и приспособлены для настольных компьютеров так же как и для любой большой вычислительной системы (например, IsSpice фирмы Intusoft или PSpice Microsim). Наибольшее признание получили таблицы соединений ("netlist") - продукт программ создания чертежа схемы ("Schematic capture") (разд. 12.08). Программы моделирования не ограничены проектированием высокочастотных схем. Они применимы и к моделям операционных усилителей, цифровых схем и внутренностей самой ИМС. Хотя SPICE пока доминирует, но уже появилось около дюжины программ моделирования, оптимизированных под конкретные применения.
Несколько примеров бустродействующих переключательных схем
В этом разделе мы проанализируем работу нескольких простых схем, в основе которых лежат только что обсуждаемые методы.
13.25. Высоковольтный усилитель
Начнем со схемы, изображенной на рис. 13.55.
![Пауль Хоровиц, Уинфилд Хилл - Искусство схемотехники. Том 3 [Изд.4-е]](/page_images/5/b608addb9646c73eb29473e9117d28e3.jpg)
Это простой инвертирующий каскад, предназначенный для возбуждения пьезоэлектрического кристалла импульсами 100 В, первоначально генерируемыми ТТЛ-логикой. Параметры выхода ТТЛ и, следовательно, сигнала, подаваемого на базу, приблизительно равны указанным на рисунке величинам. В этих расчетах мы не будем учитывать r'б, которое мало по сравнению с сопротивлением источника.
Время нарастания. Начнем с определения скорости роста коллекторного напряжения на выходе из-за "интегрирования":
![Искусство схемотехники. Том 3 [Изд.4-е]](/page_images/5/a48bbed476346bac3c740a63fd096812.jpg)
Теперь найдем напряжение на коллекторе, при котором процесс напряжения на выходе из линейного переходит к экспоненте:
![Искусство схемотехники. Том 3 [Изд.4-е]](/page_images/5/fb69ddbfb640febecf7cf0b6c09d5eba.jpg)
Это означает, что нарастание коллекторного импульса происходит только экспоненциально, так как ток обратной связи (CкбdUК/dt) недостаточен, чтобы задержать переход базы в состояние проводимости, задаваемое состоянием источника. Постоянная времени для коллекторной цепи равна RК(Сн + Скб), или 0,33 мкс, а время нарастания (по уровню от 10 до 90 %) равно 2,2 постоянной времени, т. е. 0,73 мкс. Отсюда ясно, что преобладающим в нарастании оказывается влияние коллекторного сопротивления и ёмкости нагрузки.
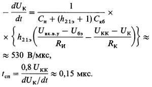
Время спада. Для анализа спада используем формулу, полученную ранее, и найдем:
![Пауль Хоровиц, Уинфилд Хилл - Искусство схемотехники. Том 3 [Изд.4-е]](/page_images/5/cb073c76fd2df637d9c5110ab05aa47e.jpg)
Последний член зависит от UK, но он незначителен по сравнению с первым членом в скобках. Если это не так, то вам придется оценивать эту величину при нескольких значениях коллекторного напряжения, чтобы получить правильную картину формы спада. Здесь следует отметить, что рассчитанное время спада соответствует частоте около 3 МГц и, следовательно, используемая нами величина h21э = 100 вполне реальна (fT= 300 МГц).
Если рассчитанное время нарастания или время спада соответствует частоте более высокой, чем предполагалось первоначально, то необходимо вернуться и пересчитать время переходного процесса с новым h21э, полученным из первой оценки времени переключения. Этот метод последовательных приближений обычно дает удовлетворительный ответ уже на втором этапе.
Форма выходного импульса. Для этой схемы форма коллекторного сигнала соответствует приведенной на рис. 13.56.
![Искусство схемотехники. Том 3 [Изд.4-е]](/page_images/5/15600fb0cdf0c76122a07ef903b5239c.jpg)
Рис. 13.56.
На положительном фронте преобладает влияние постоянной времени ёмкости нагрузки и коллекторного сопротивления, в то время как на спаде больше сказывается ёмкость обратной связи в сочетании с сопротивлением источника. Другими словами, напряжение на коллекторе падает с такой скоростью, что ток через ёмкость обратной связи почти достаточен, чтобы подавить отпирающий ток базы и вывести базу из состояния проводимости.
В наших допущениях мы всюду считали, что фронты импульса на выходе ТТЛ много короче, чем на выходе нашей схемы. Обычно времена нарастания и спада ТТЛ равны ~ 5 нc, что соответствует нашему предположению.
13.26. Усилитель с "открытым коллектором" при работе на шину
Предположим, мы хотим организовать с помощью схем с открытым коллектором управление шиной ТТЛ с выхода nМОП-схемы. Это можно осуществить, используя n-p-n-инвертирующий каскад, как показано на рис. 13.57.