![Пауль Хоровиц, Уинфилд Хилл - Искусство схемотехники. Том 3 [Изд.4-е]](/page_images/5/a74d197ba2a931d63a6d54ba3ab59ebb.jpg)
Рис. 13.51.Форма импульса на выходе транзисторного ключа.
Время нарастания tнap определяется как промежуток между моментами времени, когда значение сигнала равно соответственно 10 и 90 % конечного значения. Так же определяется и время спада tсп. Особо отметим относительно длительный период рассасывания неосновных носителей в базе tрасс, который требуется, чтобы транзистор из насыщения перешел в линейное состояние проводимости, по сравнению с соответствующим более коротким временем задержки t3, требующимся для выхода из состояния отсечки. Эти параметры общепринято брать между 10 %- и 90 %-ными точками. В цифровой логике более полезно знать времена распространения tр.нар и tр.сп, определяемые как времена от момента изменения состояния входа до момента, когда выходной сигнал проходит через логический порог (соответственно на нарастающем и спадающем фронтах). Для этих величин обычно пользуются другими обозначениями, например, tз.др и tз.др.
Попробуем применить модель схемы для определения времени нарастания и спада в данной цепи. В процессе расчета станет понятным, почему нарастающий фронт выходного сигнала иногда заканчивается по экспоненциальному закону.
Определение времени нарастания. После перехода входного сигнала в состояние низкого уровня и окончания - времени tрасс напряжение на коллекторе начинает возрастать. Два эффекта ограничивают скорость нарастания: a) RKв сочетании с Скб и Сн дают постоянную времени, определяющую экспоненциальный рост напряжения до UKK, но б) если скорость этого роста достаточно велика, получающийся в результате ток через Скб, выделяясь на сопротивлении источника (Rи + r'б), вызывает прямое смещение базы, и оно может возбуждать базу, что тормозит рост коллекторного напряжения (отрицательная обратная связь). Если это происходит, то схема оказывается интегратором, а сигнал на коллекторе - линейно нарастающим. В целом (в зависимости от параметров схемы и самого транзистора) импульс на коллекторе сначала имеет линейное нарастание, переходящее затем в экспоненту, как показано на рис. 13.51.
На рис. 13.52 приведены осциллограммы этих эффектов.
![Пауль Хоровиц, Уинфилд Хилл - Искусство схемотехники. Том 3 [Изд.4-е]](/page_images/5/ab842310990cc7197f9d4f20d086f1de.jpg)
Рис. 13.52.Импульсы переключения напряжений затвора и стока. а - сопротивление стока 10 кОм; б - сопротивление стока 200 кОм. Видно, как с источником, имеющим преувеличенное сопротивление 100 кОм, динамический эффект Миллера способствует фиксации уровня. Цена деления по вертикали 2 В/дел.; частота сигнала 6 кГц.
Вместо n-p-n-транзистора мы воспользовались n-канальным полевым МОП-транзистором, работающим в режиме обогащения. Он ведет себя также, но большее напряжение отпирания затвора существенно улучшает форму импульсов. Кроме того, полевые МОП-транзисторы не имеют эффектов, связанных с временами рассасывания носителей и задержки, и у них отсутствует постоянный входной ток, при котором все упрощается. На рис. 13.53 приведена схема, в которой импеданс источника сигналов нами намеренно сделан преувеличенным.
![Пауль Хоровиц, Уинфилд Хилл - Искусство схемотехники. Том 3 [Изд.4-е]](/page_images/5/ae9176872bec663fd7ee85162a3e2195.jpg)
Рис. 13.53.
Заметьте, как емкость обратной связи поддерживает напряжение затвора на уровне порога отпирания во время переключения стока. Обратите внимание также на то, что нарастание сигнала стока изменяется экспоненциально, если Rc велико.
Простой способ расчета поведения схемы состоит в следующем:
1. Рассчитывается скорость нарастания напряжения на коллекторе для "ограничения вследствие интегрирования" с использованием уравнения
![Искусство схемотехники. Том 3 [Изд.4-е]](/page_images/5/6aa6eb353697bf1a371b825b8b24ae00.jpg)
где Uвх.н.у - низкий уровень входного напряжения.
2. Определяется коллекторное напряжение Ux, при котором выходное напряжение переходит от линейного нарастания к экспоненте из уравнения
![Искусство схемотехники. Том 3 [Изд.4-е]](/page_images/5/1e00f6b40283a290d7bcd81f4dbce37c.jpg)
С помощью этих двух уравнений можно вычислить форму переднего фронта коллекторного импульса и время нарастания. Если Ux окажется отрицательным, то это означает, что нарастание коллекторного напряжения носит чисто экспоненциальный характер: емкостная нагрузка преобладает и ток через емкость обратной связи вообще не возбуждает базу. Величина r'б обычно незначительна.
Упражнение 13.1. Выведите две предшествующие формулы. Указание: для вывода второй формулы приравняйте ток обратной связи, текущий в базу, к току коллекторного резистора за вычетом тока, ответвляющегося в емкостную нагрузку.
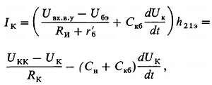
Определение времени спада. По истечении короткого времени задержки t3 после перехода входного сигнала в состояние высокого уровня Uвх.н. у коллекторное напряжение начинает падать к уровню насыщения транзистора. Произведя несложные расчеты, легко увидеть, что ток коллектора определяется выражением
![Искусство схемотехники. Том 3 [Изд.4-е]](/page_images/5/5e1a9e23bc4b885ae978a6707e056f29.jpg)
где первое выражение - это ток базы, умноженной на h21э, а второе - ток коллектора, определяемый как ток через RK минус ток, отбираемый зарядом емкости, подключенной к коллектору.
Напоминаем, что dUK/dt отрицательно. После преобразования получим
![Искусство схемотехники. Том 3 [Изд.4-е]](/page_images/5/50928f71e5ab5246bfd8e50e9cfe020f.jpg)
где первый член в скобках соответствует току управления в цепи базы, умноженному на h21э, а второй - току через коллекторный резистор. Теперь вы можете попробовать рассчитать некоторые схемы; вы сможете определить времена нарастания и спада, а также какая емкость доминирует. Сначала, однако, рассмотрим времена рассасывания носителей и задержки.
Времена задержки и рассасывания носителей в базе. Обычно времена задержки очень малы. Главную роль играет постоянная времени, которая определяет снижение заряда емкости базы до Uбэ и равна в общем
Т ~ (Rи + r'б)(Скб + Сбэ).
При очень высоком быстродействии влияние постоянных времени транзисторных переходов может оказаться важным. Гораздо большую роль играет время рассасывания. У транзистора в насыщении заряд накапливается в области базы, и после того, как управляющий сигнал на базе становится близким к потенциалу земли (или даже отрицательным), требуется относительно длительное время, чтобы ранее инжектированные из эмиттера избыточные неосновные носители ушли из базы под действием тока коллектора. Транзисторы сильно отличаются друг от друга по времени рассасывания; это время можно сделать короче, если уменьшить ток базы во время насыщенного состояния и если при запирании подавать обратное смещение на базу, чтобы обеспечить обратный ток базы, когда транзистор переключается в состояние отсечки. Эти моменты отражены в уравнении для времени рассасывания tрасс: