1.2. Техническое обслуживание и ремонт машин выполняют на основе диагностирования их технического состояния. Мероприятия по техническому обслуживанию и ремонт машин разрабатывают и осуществляют с учетом эксплуатационной (по ГОСТ 2.601-95) и ремонтной (по ГОСТ 2.602-95) документации заводов-изготовителей, а также требований к техническому состоянию машин и правил безопасной эксплуатации, установленных Госгортехнадзором, Госавтоинспекцией и государственными нормативно-техническими документами.
1.3. Согласно ГОСТ 25646-95 проводят следующие виды технического обслуживания:
а) ежесменное техническое обслуживание (ЕО) в начале или после использования машины, выполняемое в течение смены;
б) техническое обслуживание (ТО), выполняемое через плановые периоды наработки;
в) сезонное обслуживание (СО), выполняемое два раза в год при подготовке машины к использованию в летний или зимний периоды.
Некоторым видам технического обслуживания (ТО) конкретных машин может присваиваться в зависимости от периодичности выполнения и состава работ порядковый номер: TO-1, TO-2, TO-3. В состав работ технического обслуживания, имеющего более высокий порядковый номер, входят работы каждого из предшествующих видов технических обслуживаний, включая ежесменное.
1.4. В соответствии с ГОСТ 25646-95 выполняют ремонты двух типов: текущий (Т) и капитальный (К).
Текущий ремонт обеспечивает ресурс машины до очередного ремонта.
Капитальный ремонт обеспечивает полный или близкий к полному ресурс машины путем восстановления и замены сборочных единиц (узлов) и деталей, включая базовые.
1.5. Техническое диагностирование входит в состав технического обслуживания (ТО) и ремонта и обеспечивает их проведение по фактическому техническому состоянию машин.
При техническом диагностировании с помощью приборов измеряют диагностические параметры машины, составных частей, сборочных единиц и деталей.
В результате технического диагностирования прогнозируют техническое состояние машины и ее остаточный ресурс по ГОСТ 19919-74, принимают решение о ее дальнейшей эксплуатации или определяют потребность в техническом обслуживании и ремонте.
1.6. Настоящие Рекомендации содержат сводные данные из эксплуатационной и ремонтной документации о видах технического обслуживания и ремонта, периодичности их проведения для каждого вида и типа основных машин.
Типовые нормы трудоемкости и продолжительности выполнения работ по техническому обслуживанию и ремонту разработаны на основе указаний по составу работ, содержащихся в эксплуатационной и ремонтной документации, а также фактических затрат труда и времени на эти работы в управлениях механизации и на ремонтных заводах.
1.7. Периодичность технического обслуживания и ремонта устанавливается в часах наработки машин.
Наработку машин определяют по показаниям приборов-счетчиков. Наработку машин, не имеющих счетчиков, определяют по данным учета сменного времени, скорректированного с помощью коэффициента внутрисменного использования.
1.8. Типовые нормы трудоемкости включают средние суммарные затраты труда в человеко-часах на выполнение всех операций, определяемые конструкцией и техническим состоянием машины.
1.9. Продолжительность технического обслуживания и ремонта – это затраты времени на выполнение всех операций, определяемые конструкцией и техническим состоянием машины и измеряемые в часах.
1.10. Типовые нормы трудоемкости и продолжительности технических обслуживаний и текущих ремонтов машин определены на основе обработки статистических данных с учетом условий проведения работ на эксплуатационных базах, в организациях, эксплуатирующих смешанные парки с количеством машин 100-250 в центральной природно-климатической зоне России.
Типовые нормы трудоемкости и продолжительности капитальных ремонтов определены на основе обработки статистических данных и применительны к ремонтным заводам, ремонтирующим до 100 машин одной модели в год.
При условиях работ и программах технического обслуживания и ремонта, отличных от приведенных, нормы подлежат корректировке применительно к местным условиям строительной организации.
2. Планирование технического обслуживания и ремонта строительных машин
2.1. Строительные организации разрабатывают годовой план и месячные планы-графики технического обслуживания и ремонта машин по ГОСТ 25646-95.
Годовой план технического обслуживания и ремонта является основанием для расчета потребности в материальных и трудовых ресурсах, в производственных площадях ремонтных мастерских и профилакториев, в технологическом оборудовании, в передвижных средствах.
2.2. Количество технических обслуживаний и ремонтов в планируемом году К определяется по формуле

где Нф – фактическая наработка машины на начало планируемого года со времени проведения последнего вида технического обслуживания, ремонта или с начала эксплуатации, ч;
Нп – планируемая наработка на расчетный год, ч;
Тп – периодичность выполнения соответствующего вида технического обслуживания или ремонта, ч;
Кп – количество всех видов предшествующих технических обслуживаний и ремонтов (при расчете капитального ремонта К=0).
Планируемую наработку определяют по Методическим указаниям по определению годовых режимов работы и эксплуатационной производительности строительных машин ЦНИИОМТП.
Расчеты производят в следующей последовательности: капитальный ремонт, текущий ремонт, технические обслуживания (ТО-3, ТО-2, ТО-1).
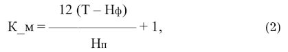
2.3. Порядковый номер месяца, в котором должен производиться капитальный ремонт К_м, определяют по формуле

Если при расчете К_м > 12, капитальный ремонт машины в этом году не планируется.
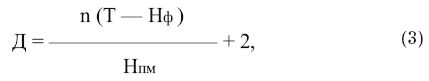
2.4. Месячным планом-графиком устанавливают дату технического обслуживания или ремонта и продолжительность простоя машины. Порядковый рабочий день месяца Д, в который начинается проведение технического обслуживания или ремонта машин, определяют по формуле

где n – число рабочих дней в планируемом месяце;
Нпм – планируемая наработка на расчетный месяц, ч.
Если Д > n, соответствующий вид технического обслуживания или ремонта в этом месяце не проводят.
Для определения даты к Д добавляют число выходных дней, приходящихся на вычисленное число рабочих дней.
Примечание. Результаты расчетов по формулам (1)-(3) округляют до целых чисел в меньшую сторону.
2.5. При составлении месячных планов-графиков планируют равномерную загрузку дней в месяце. Для этого допускается корректировка периодичности в сторону увеличения или уменьшения.
3. Организация технического обслуживания и ремонта машин
3.1. Техническое обслуживание и ремонт машин выполняются строительной организацией на эксплуатационной базе или на местах использования машин с помощью передвижных средств.
3.2. Техническое обслуживание и ремонт организуют по системе УК ЭСМ, основой которой являются стандарты предприятия, устанавливающие порядок и организацию выполнения функций: планирования повышения качества технического обслуживания и ремонта, технологической подготовки производства, материально-технического снабжения, метрологического обеспечения, подготовки и обучения кадров, информационного обеспечения, стимулирования повышения качества технического обслуживания и ремонта, правового обеспечения.
3.3. Ежесменные технические обслуживания машин проводят машинисты.
Технические обслуживания (ТО), (СО) и текущие ремонты машин проводят специализированными бригадами (звеньями).
Техническое диагностирование машин организуют в соответствии с требованиями ГОСТ 25044-81. Для выполнения работ по техническому диагностированию, как правило, комплектуют специальные звенья.
3.4. Слесарные и прочие работы по техническому обслуживанию и ремонту выполняют во взаимосвязи с диагностическими работами.
Диагностические работы выполняют, как правило, на специализированных участках диагностики, реже – на участках, совмещенных с другими работами по техническому обслуживанию.
Работы выполняют по следующей маршрутной технологии: уборочно-моечные работы, диагностические работы для определения технического состояния машины, далее – необходимые работы по техническому обслуживанию и ремонту, установленные в результате диагностики, затем – диагностические работы для оценки качества выполненного технического обслуживания и ремонта и определения ресурса машины.
Диагностические параметры машин, измеряемые и оцениваемые при ТО-1, ТО-2 и ТО-3, приведены в приложении 1.
3.5. Ремонт производится агрегатным методом. Необходимый для этого обменный фонд агрегатов создают как из новых, так и из восстановленных агрегатов.
3.6. Сдачу машин в капитальный ремонт на ремонтные предприятия и их приемку после ремонта проводят по ГОСТ 24408-80, одноковшовых экскаваторов – по ГОСТ 24406-80, стреловых кранов – по ГОСТ 24407-80, автогрейдеров – по ГОСТ 26679-85.
Тракторы, на базе которых изготовлены машины, сдают в ремонт и выдают из ремонта по ГОСТ 18524-85; дизельные двигатели тракторного типа – по ГОСТ 18523-79.