Сцепление между гидроксилапатитом и слоями протеина имеет чрезвычайно сложнуюхимическую природу. Частично оно обеспечивается гидроксильными связями, ачастично - ионными (см. приложение I). Несомненно, существует очень тонкаянастройка величины этого сцепления, а следовательно, и характерараспространения трещины. Однако слабая органическая прослойка легко подверженагниению, которое резко ускоряется, когда очаг разложения, пройдя слой эмали,доходит до дентина. Но, вероятно, это разумный компромисс: если бы отсутствоваллегкоуязвимый органический слой, зубы не гнили бы с такой легкостью, но тогдаони были бы хрупкими и, наверное, ломались бы еще в молодомвозрасте.
Очень часто в живых организмах для управления величиной сцепления на границахиспользуется водородная связь в гидроксильной группе (-ОН). Такой способ,безусловно, удобен в случаях постоянной влажности окружающей среды. Поэтому,когда человек использует природные органические материалы в сухих условиях,возникают определенные трудности. Высушивание гидроксилов, то есть удалениеводной оболочки, окружающей каждую гидроксильную группу, ведет к усадкематериалов, таких, как древесины. Это может привести и к резкому охрупчиванию,так как прочность границ становится слишком большой. То же самое можетслучиться и со слоновой костью, строение которой очень напоминает структурузубов. В афинском Парфеноне была знаменитая статуя богини Афины из золотаи слоновой кости. В те времена под крышей Парфенона было, должно быть,очень жарко и, чтобы предохранить слоновую кость от охрупчивания и растрескивания,статуя была окружена неглубоким бассейном с водой, которая не только бросаласнизу отраженный свет на Афину, но и поддерживала достаточную влажностьвоздуха. Бассейн всегда был наполнен водой и сохранял статую в течениепочти восьми столетий. На полу Парфенона и сейчас можно видеть остаткикольцевой каемки бассейна, глубина которого была всего около пяти сантиметров.
Глава 5
Древесина и целлюлоза, или о деревянных кораблях и железных людях
Во время войны, когда мы работали над прочными пластиками, профессорЧарльз Гурни взял за правило декламировать мне чуть ли не каждый день стишок,смысл которого сводился к тому, что сделать пластик - не фокус, а вот создатьматериал, подобный дереву, под силу лишь всевышнему. Меня это несколькоугнетало, потому что древесина действительно лучше подходила для самолетов,чем те пластики, которые мы в то время умели делать. Даже и по сей деньимеются конструкции (например, гидропланы, определенного типа суда), длякоторых древесина остается наиболее подходящим материалом.
Древесина и другие формы целлюлозы с успехом применяются в технике.Но этого мало, целлюлоза в природе вообще имеет чрезвычайно широкое применение.Целлюлоза является конструкционным элементом всех растений. Именно прочностьи жесткость целлюлозы держат зеленую листву растения "лицом к солнцу", безчего невозможен процесс фотосинтеза - отправной химической точки для всехформ жизни. На долю целлюлозы приходится в среднем около трети веса всейрастительности на Земле - практически эта цифра вне пределов точного учета.В целлюлозе заперта большая часть имеющегося на Земле углерода. В телахживотных целлюлоза встречается редко, хотя и обитает в океане небольшойкласс животных - оболочники, в основном состоящие из целлюлозы, внешнеони напоминают продолговатых медуз и, по-видимому, не имеют определеннойустойчивой формы. А вот в насекомых содержится полимерное вещество хитин,которое очень похоже на целлюлозу.
Обратившись теперь к материалам, которые использует человек, мы увидим, чтоцеллюлозе здесь принадлежит ведущая роль. Годовое потребление древесины в мире(не считая топлива) - где-то между 800 и 1000 млн. тонн (древесина- достаточно важный материал в технике, чтобы попасть в официальные статистические сборники). Необработанная древесина, идущая на заборы, а такжебамбук для строений, солома и камыш для крыш и т.д. используются сельскимнаселением примерно в таком же количестве, но каких-либо статистических данныхпо таким "неиндустриальным" материалам, конечно же, нет. Мировое производствочугуна и стали составляет около 400 млн. тонн, цифры для любого металла посравнению с этой пренебрежимо малы.
Отнесенные к единице веса величины прочности малоуглеродистой стали и древесинывполне сравнимы, так что возможно, что общая нагрузка, которую несет вмире древесина, даже превышает нагрузку, приходящуюся на сталь. Однаконесомненно, что нагрузки, которые доверяют стали, как правило, более впечатляющи.
Поскольку плотность древесины составляет в среднем примерно 1/14 плотностистали, то общий объем используемой в мире древесины может быть больше объемастали раз в 30.
Отношение количества потребляемой древесины к количеству стали от странык стране сильно изменяется, однако его нельзя считать показателем степенииндустриализации или технического прогресса. В Англии и Голландии в годна душу населения приходится около 500 кг стали и лишь 320 кг древесины.В США потребление стали примерно на том же уровне, потребление древесинызначительно выше - около 1100 кг. В Канаде еще выше - 1500 кг. В менееразвитых странах потребление и того и другого меньше.
Рост растения
Целлюлоза является примером стандартизованного производства в природе.Функции и общий вид молекул целлюлозы во всех, даже весьма сильно отличающихсяодно от другого растениях, одинаковы. Правда, молекулы могут быть несколькоразной длины, могут по-разному комбинироваться, но все это детали - химическаясуть их всегда одна.
Все достаточно развитые растения содержат пустотелые вытянутые веретенообразныеклетки-ячейки, стенки которых состоят в основном из целлюлозы. (Вот откудаи название "целлюлоза": cell - ячейка, клетка, а суффикс ose- общий для всех сахаров, например фруктоза - фруктовый сахар и т. д.)Эти пустотелые веретена оказываются волокнами, которые принимают на себямеханические нагрузки, обеспечивая прочность.

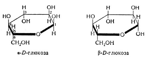
Рис. 36. Молекула глюкозы.
Вначале в листьях растений из атмосферного углекислого газа CO2и воды под действием солнечного света образуется простой сахар-глюкоза(рис. 36). Подобно другим простым сахарам, глюкоза хорошо растворяетсяв воде (кстати, поэтому она легко усваивается организмом) благодаря еепяти гидроксильным группам, которые притягивают молекулы воды, а такжетому, что молекулы глюкозы физически достаточно малы и могут свободно блуждатьв объеме воды, конечно, при условии, что их там не слишком много. Концентрированныйраствор глюкозы напоминает патоку.