
Рис. 2.35.Метод измерение нал ряжений вольтметром с малым входным сопротивлением
Искомое напряжение U вычисляем по формуле:
U = U1∙U2/(U1 - U2).
• Пример. Чему равно напряжение на аноде лампы телевизора, если при измерении вольтметром с малым входным сопротивлением показание прибора равно U1 = 75 В, а при измерении напряжения по схеме рис. 2, 36, б - 52,5 В?
Решение. Напряжение на аноде лампы равно:
U = 75∙52,5/(75–52,5) = 175 В.
Из приведенного примера видно, что при непосредственном измерении напряжения вольтметром результат измерения (U1 = 75 В) намного отличается от действительного значения напряжения (U = 175 В).
2.8.2. Измерение постоянных напряжений миллиамперметром
Этот способ требует двух дополнительных резисторов R1 и R2.
Для облегчения вычислений сопротивление второго резистора должно быть равно числу, выраженному однозначной цифрой с нулями, например 5000, 10 000, 20 000 и т. д. Порядок измерения напряжения следующий:
а) к точкам А и В (рис. 2.36, а), напряжение между которыми требуется измерить, присоединяют миллиамперметр с последовательно включенным резистором R1 и замечают показания прибора (I1) (резистор R1 желательно взять такой величины, чтобы стрелка отклонялась почти на всю шкалу);
б) последовательно с миллиамперметром и резистором R1 включают резистор R2 (рис. 2.36, б) и замечают второе показание (I2) прибора;
в) определяют напряжение между точками А и В по формуле:
U = R2∙I1∙I2/(I1 - I2).

Рис. 2.36.Метод измерения напряжения постоянного тока миллиамперметром
• Пример. Чему равно напряжение на зажимах полупроводникового выпрямителя, если при включении последовательно с миллиамперметром резистора сопротивлением R1 = 900 Ом ток I1 = 9 мА, а при увеличении сопротивления в цепи прибора до 1900 Ом сила тока уменьшается до 5,4 мА?
Решение:
U = 1000∙9∙10∙5,4∙10/(9∙10 - 5,4∙10) = 13,5 В.
2.8.3. Измерение силы тока низкоомным вольтметром
В отсутствие миллиамперметра или амперметра ток можно измерить вольтметром. С этой целью вольтметр вводят последовательно в измеряемую цепь (рис 2.37, а) и замечают первое показание (U1) прибора.
Присоединив параллельно вольтметру (рис. 2.37, б) резистор, сопротивление R которого известно, замечают второе показание (U2) вольтметра.

Рис. 2.37.Метод измерения силы тока низкоомным вольтметром
Затем определяют искомый ток, то есть ток, протекающий в цепи в отсутствие вольтметра, по формуле:
I = U1∙U2/[R1(U1 - U2)]
• Пример. При включении вольтметра в цепь катода кинескопа показание прибора равно U1 = 2,75 В; после присоединения к вольтметру резистора сопротивлением R = 22 кОм показание вольтметра уменьшается до 1,3 В. Чему равен ток в цепи катода кинескопа?
Решение. Согласно формуле измеряемый ток равен:
I = U1∙U2/[R∙(U1 - U2)] = 2,75∙1,3/22000∙(2,75 - 1,3) = 112 мКа
Вследствие того, что любой измеритель тока обладает собственным сопротивлением, включение его в цепь увеличивает общее сопротивление и, следовательно, уменьшает ток. Таким образом, показания микро- и миллиамперметров оказываются меньше тех значений токов, которые протекают в цепи в отсутствие прибора. Чем больше отношение сопротивления прибора к сопротивлению между теми двумя точками цепи, к которым присоединен измеритель тока, тем больше эта дополнительная ошибка измерения.
2.8.4. Измерение малых сопротивлений миллиамперметром
Процесс измерения начинается со сборки схемы, изображенной на рис. 2.38, а. Сопротивление R резистора выбирают в пределах R = (20…30)∙RмА, где RмА - сопротивление миллиамперметра, а напряжение батареи берут такой величины, при которой стрелка миллиамперметра отклоняется почти на всю шкалу.
Записав первое показание прибора (I1), присоединяют параллельно миллиамперметру измеряемое сопротивление Rx и замечают второе показание прибора (I2).
После этих измерений сопротивление Rx определяют по формуле:

или по более точной формуле:


Рис. 2.38.Измерение малых сопротивлений миллиамперметром
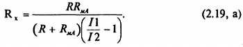
Если необходимо измерить сопротивление большей величины, то после измерения тока I1 в цепи, показанной на рис. 2.38, а схему дополняют еще одним резистором, сопротивление R1 которого (рис. 2.38, б) выбирают в пределах (2…5) RмА, увеличивают сопротивление R до значения (60…180) RмА, присоединяют измеряемое сопротивление так, как показано на рис. 2.38, б, и определяют Rх по формуле:

где I2 - сила тока, протекающая в ветви резистора R1.
• Пример. Необходимо измерить сопротивление звуковой катушки динамического громкоговорителя. При включении последовательно с четырьмя батареями для карманного фонаря и миллиамперметром (RмА = 9 Ом) резистора R = 180 Ом показание прибора равно 94,7 мА, а при шунтировании миллиамперметра катушкой громкоговорителя ток в цепи прибора уменьшается до 34,9 мА.
Чему равно сопротивление катушки?
Решение. В соответствии с формулой (2.19, а) сопротивление катушки громкоговорителя постоянному току равно:
Rx = 180∙9/[(180 + 9)(94,7/34,9–1)] = 5,01 Ом
2.8.5. Измерение сопротивлений вольтметром
При отсутствии омметра или авометра измерить активное сопротивление можно с помощью обычного вольтметра. С этой целью собирают схему, изображенную на рис. 2.39, и замечают показания U1 вольтметра. Затем замыкают измеряемое сопротивление Rx накоротко и записывают второе показание U2 вольтметра. После этого определяют сопротивление резистора Rx по формуле:
![]()
где Rв - сопротивление вольтметра постоянному току.

Рис. 2.39.Измерение сопротивлений вольтметром
Если измерение сопротивления выполняется низкоомным вольтметром и в качестве источника питания используется источник с повышенным внутренним сопротивлением, то измеренное сопротивление вычисляют по формуле: