![]()
β0, β1 – параметры модели регрессии, подлежащие оцениванию;
εi – случайная ошибка модели регрессии. Данная величина является случайной, она характеризует отклонения реальных значений результативных переменных от теоретических, рассчитанных по уравнению регрессии.
Присутствие случайной ошибки в модели регрессии порождено следующими источниками:
1) нерепрезентативность выборки. Модель парной регрессии в большинстве случаев является большим упрощением истинной зависимости между переменными, потому что в модель входит только одна факторная переменная, не способная полностью объяснить вариацию результативной переменной. При этом результативная переменная может быть подвержена влиянию множества других факторных переменных в гораздо большей степени;
2) ошибки, возникающие при измерении данных;
3) неправильная функциональная спецификация модели.
Коэффициент β1, входящий в модельпарной регрессии, называется коэффициентом регрессии. Он характеризует, на сколько в среднем изменится результативная переменная у при условии изменения факторной переменной х на единицу своего измерения. Знак коэффициента регрессии указывает на направление связи между переменными:
1) если β1›0, то связь между изучаемыми переменными (с уменьшением факторной переменной х уменьшается и результативная переменная у, и наоборот);
2) если β1‹0, то связь между изучаемыми переменными (с увеличением факторной переменной х результативная переменная у уменьшается, и наоборот).
Коэффициент β0, входящий в модель парной регрессии, трактуется как среднее значение результативной переменной у при условии, что факторная переменная х равна нулю. Но если факторная переменная не имеет и не может иметь нулевого значения, то подобная трактовка коэффициента β0 не имеет смысла.
Общий вид модели парной регрессии в матричном виде:
Y= X* β+ ε,
где

– случайный вектор-столбец значений результативной переменной размерности n x 1;

– матрица значений факторной переменной размерности n x 2. Первый столбец является единичным, потому что в модели регрессии коэффициент β0 умножается на единицу;

– вектор-столбец неизвестных коэффициентов модели регрессии размерности 2 x 1;

– случайный вектор-столбец ошибок модели регрессии размерности n x 1.
10. Нормальная линейная модель парной (однофакторной) регрессии
Общий вид нормальной (традиционной или классической) линейной модели парной (однофакторной) регрессии (Classical Normal Regression Model):
yi=β0+β1xi+εi,
где yi– результативные переменные,
![]()
xi – факторные переменные,
![]()
β0, β1 – параметры модели регрессии, подлежащие оцениванию;
εi – случайная ошибка модели регрессии.
При построении нормальной линейной модели парной регрессии учитываются пять условий:
1) факторная переменная xi – неслучайная или детерминированная величина, которая не зависит от распределения случайной ошибки модели регрессии εi;
2) математическое ожидание случайной ошибки модели регрессии равно нулю во всех наблюдениях:
![]()
3) дисперсия случайной ошибки модели регрессии постоянна для всех наблюдений:
![]()
4) между значениями случайных ошибок модели регрессии в любых двух наблюдениях отсутствует систематическая взаимосвязь, т. е. случайные ошибки модели регрессии не коррелированны между собой (ковариация случайных ошибок любых двух разных наблюдений равна нулю): Cov(εi,εj)=E(εi,εj)=0 (). Это условие выполняется в том случае, если исходные данные не являются временными рядами;
5) на основании третьего и четвёртого условий часто добавляется пятое условие, заключающееся в том, что случайная ошибка модели регрессии – это случайная величина, подчиняющейся нормальному закону распределения с нулевым математическим ожиданием и дисперсией G2: εi~N(0, G2).
Общий вид нормальной линейной модели парной регрессии в матричной форме:
Y= X* β+ ε,
где

– случайный вектор-столбец значений результативной переменной размерности n x 1;

– матрица значений факторной переменной размерности n x 2. Первый столбец является единичным, потому что в модели регрессии коэффициент β0 умножается на единицу;

– вектор-столбец неизвестных коэффициентов модели регрессии размерности 2 x 1;

– случайный вектор-столбец ошибок модели регрессии размерности n x 1.
Условия построения нормальной линейной модели парной регрессии, записанные в матричной форме:
1) факторная переменная xi – неслучайная или детерминированная величина, которая не зависит от распределения случайной ошибки модели регрессии βi;

2) математическое ожидание случайной ошибки модели регрессии равно нулю во всех наблюдениях:;
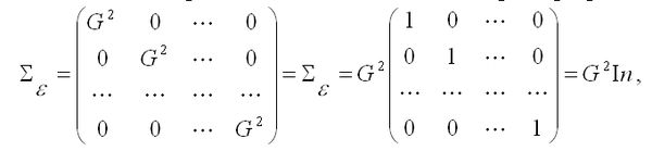
3) третье и четвёртое условия можно записать через ковариационную матрицы случайных ошибок нормальной линейной модели парной регрессии:

где G2 – дисперсия случайной ошибки модели регрессии ε;
In – единичная матрица размерности n x n.
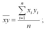
Определение. Ковариацией называется показатель тесноты связи между переменными х и у, который рассчитывается по формуле:
![]()
где

– среднее арифметическое значение произведения факторного и результативного признаков;
Основными свойствами показателя ковариации являются:
а) ковариация переменной и константы равна нулю, т. е. cov(x,C)=0 (C=const);
б) ковариация переменной с самой собой равна дисперсии переменной, т. е. Cov(ε,ε)=G2(ε). По этой причине на диагонали ковариационной матрицы случайных ошибок нормальной линейной модели парной регрессии располагается дисперсия случайных ошибок;
4) случайная ошибка модели регрессии подчиняется нормальному закону распределения: εi~N(0, G2).
11. Критерии оценки неизвестных коэффициентов модели регрессии
В ходе регрессионного анализа была подобрана форма связи, которая наилучшим образом отражает зависимость результативной переменной у от факторной переменной х:
y=f(x).
Необходимо оценить неизвестные коэффициенты модели регрессии β0…βn. Для определения оптимальных коэффициентов модели регрессии возможно применение следующих критериев:
1) критерий суммы квадратов отклонений наблюдаемых значений результативной переменной у от теоретических значений β (рассчитанных на основе функции регрессии f(x)):