
Выравнивание нагрузки в данном случае можно достичь путем изменения коэффициента трансформации за счет повышения вторичного напряжения недогруженного трансформатора. Однако при этом возрастают потери от уравнительного тока, вследствие чего данный способ в эксплуатации нерентабелен.
Оптимальное использование установленной мощности трансформаторов возможно лишь при равенстве напряжений КЗ. Однако в эксплуатации допускается включение трансформаторов на параллельную работу с 10 %-ным отклонением Uк в сторону увеличения или уменьшения, что связано с конструкцией трансформаторов (размерами обмоток) и технологией их изготовления.
Группы соединения обмоток в ряде случаев могут быть изменены путем перемаркировки выводов и соответствующего присоединения к ним шин. В противном случае необходимо вскрывать трансформатор для изменения группы соединения его обмоток.
На практике важной проблемой является определение экономически целесообразного числа параллельно включенных трансформаторов.
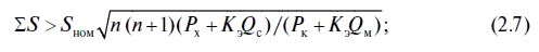
На ПС с двумя и более трансформаторами целесообразно иметь на параллельной работе такое число трансформаторов, при котором активные потери ХХ всех включенных трансформаторов и активные потери КЗ будут наименьшими.
Потери ХХ Рх - величина постоянная, не зависящая от нагрузки трансформатора.
Потери КЗ Рк зависят от нагрузки и изменяются пропорционально квадрату тока, возрастая от нуля до полных потерь пропорционально росту нагрузки соответственно от нуля до номинальной мощности.
При возрастании нагрузки к n параллельно включенным трансформаторам подключают еще один трансформатор, если
![]()
при снижении нагрузки отключают один из трансформаторов, если

Формулы (2.7) и (2.8) применимы только для однотипных трансформаторов одинаковой мощности. При наличии на ПС неоднотипных трансформаторов различной мощности пользуются кривыми приведенных потерь, которые строят на одной координатной плоскости для каждого трансформатора и для нескольких одновременно включенных трансформаторов.
Для того чтобы отключение по экономическим соображениям части трансформаторов не отразилось на надежности электроснабжения, выводимые в резерв трансформаторы снабжаются устройствами АВР. Исходя из необходимости сокращения числа оперативных переключений частота вывода трансформатора в резерв по экономическим соображениям не должна превышать 2–3 раз в сутки.
2.5. Обслуживание устройств регулирования напряжения
В соответствии с требованиями ПТЭ, устройства РПН должны быть в работе, как правило, в автоматическом режиме. Их работа должна контролироваться по показаниям счетчиков числа операций. Для автоматического управления РПН снабжаются блоками автоматического регулирования коэффициента трансформации (АРКТ).
Допускается дистанционное переключение РПН с пульта управления, если колебания напряжения в сети находятся в пределах, удовлетворяющих требования потребителей. Переключения под напряжением вручную (с помощью рукоятки) не разрешаются.
Устройство РПН приводится в действие дистанционно со щита управления ключом или кнопкой и автоматически от устройств автоматического регулирования напряжения. Предусмотрено также переключение приводного механизма РПН специальной рукояткой или с помощью кнопки, располагаемой в шкафу (местное управление).
Местное управление является вспомогательным, и к нему прибегают только при ремонте.
Один цикл переключения РПН выполняется за 3-10 с. Процесс переключения сигнализируется красной лампой, которая загорается в момент подачи импульса и горит до тех пор, пока механизм не закончит цикл переключения с одной ступени на другую.
Переключающие устройства РПН трансформатора разрешается включать в работу при температуре верхних слоев масла выше минус 20 °C (для наружных резисторных устройств РПН) и выше минус 45 °C - для устройств РПН с токоограничивающими реакторами, а также для переключающих устройств с контактором, расположенным на опорном изоляторе вне бака трансформатора и оборудованным устройством искусственного подогрева.
Наиболее распространенным способом регулирования напряжения на шинах ПС является переключение ответвлений на трансформаторах. С этой целью, как правило, у обмоток ВН трансформатора, имеющих меньший рабочий ток, предусматриваются регулировочные ответвления и специальные переключатели ответвлений, при помощи которых изменяют число включенных в работу витков w, увеличивая или уменьшая коэффициент трансформации, равный
KВН-HН = UВН/UНН = wВН /wНН. (2.9)
Переключения секции витков производят на работающем трансформаторе под нагрузкой устройством РПН или на отключенном от сети трансформаторе устройством переключения без возбуждения (ПБВ).
Трансформаторы большой мощности с устройством ПБВ имеют до 5 ответвлений для получения 4-х ступеней напряжения относительно номинального (±2×2,5 %)Uном.
Применяют различные трехфазные и однофазные переключатели ответвлений, что зависит от напряжения трансформатора, числа ступеней регулирования и его исполнения.
Класс изоляции устройств РПН соответствует классу изоляции СН трансформатора.
В качестве других способов регулирования напряжения трансформатора применяются специальные последовательные регулировочные трансформаторы.
Различают продольное регулирование, при котором напряжение сети изменяется только по величине без изменения фазы, и поперечное регулирование, при котором напряжение изменяется только по фазе. На крупных ПС системного значения возникает необходимость в регулировании напряжения и по величине, и по фазе, которое осуществляется специальными агрегатами продольно-поперечного регулирования. При этом в схему вводятся два напряжения, одно из которых совпадает с напряжением сети, а другое сдвинуто на 90°.
Устройства РПН состоят из переключателя (или избирателя), контактора, токоограничивающего реактора (или резистора) и приводного механизма.
Реактор и избиратель (ввиду того что на его контактах дуги не возникает) обычно размещают в баке трансформатора, а контактор помещают в отдельном масляном баке, чтобы не допускать разложения масла электрической дугой в трансформаторе.
Отличие действия устройств РПН с резистором от работы переключающих устройств с реактором состоит лишь в том, что в нормальном режиме резисторы зашунтированы или отключены и ток по ним не проходит, а в процессе коммутации ток проходит всего в течение сотых долей секунды. Поскольку резисторы не рассчитаны на длительную работу под током, то переключение контактов в них происходит мгновенно под действием мощных сжатых пружин. Резисторы имеют сравнительно малые размеры и являются, как правило, конструктивной частью контактора.
Нормальная работа устройств РПН обеспечивается при температуре верхних слоев масла в контакторах не ниже минус 20 °C. В выносных баках контакторов применяется система автоматического подогрева масла, которая обеспечивает нормальную работу устройств при температуре наружного воздуха до минус 45 °C. Уровень масла в баках контакторов контролируется по маслоуказателям.
Практика обслуживания устройств регулирования напряжения показала, что перестановка переключателей ПБВ с одной ступени на другую производится всего лишь 1–2 раза в году - сезонное регулирование.
При длительной работе без переключения контактные стержни и кольца покрываются оксидной пленкой. Чтобы разрушить эту пленку и обеспечить хороший контакт, рекомендуется при отключенном трансформаторе при каждом переводе переключателя предварительно не менее 5-10 раз прокручивать его из одного крайнего положения в другое. При пофазном переводе переключателей проверяют их одинаковое положение. Установка привода на каждой ступени должна фиксироваться стопорным болтом. О переключении ответвлений должна быть сделана запись в оперативном журнале.
Для очистки от шлама и оксидов контактов переключающих устройств РПН их также следует через каждые 6 мес "прогонять" по всему диапазону регулирования по 5-10 раз в каждую сторону.
Устройства РПН должны постоянно находиться в работе с блоком АРКТ. На дистанционное управление их переводят только при неисправности автоматических регуляторов, невыполнении команды на переключение, например, из-за застревания контактов избирателя в промежуточном положении или из-за отказа в работе приводного механизма. При повреждении АРКТ оно должно быть отключено и устройство РПН переведено на дистанционное управление. При отказе в работе схемы дистанционного управления РПН следует перевести на местное управление и принять меры по устранению неисправности. Если обнаружится неисправность избирателя или контактора, трансформатор следует отключить.
Работу РПН не могут ограничивать нормальные эксплуатационные или аварийные перегрузки трансформатора при условии, что ток не превышает 200 % номинального тока. При нагрузке выше максимально допустимой срабатывание переключающего устройства запрещает блокировка.