
где kOT CP - коэффициент отстройки от броска тока намагничивания, для дифференциальной токовой отсечки kОТ СР ≈ (3,4–4), для реле типа РНТ kOT CP = 1,3, для реле ДЗТ - kOT CP = 1,5;
IHOM Т - номинальный ток трансформатора;
kЗ - коэффициент запаса, для дифференциальной токовой отсечки и для реле типа РНТ k3 = 1,3, для реле ДЗТ - k3 = 1,5;
IНБ - ток небаланса.
При наличии РПН бросок тока намагничивания рассчитывают для его (РПН) крайнего "отрицательного" положения [4]:

где ST - номинальная мощность трансформатора;
UHOM 1 - его номинальное первичное напряжение;
ΔUPПН - половина полного диапазона регулирования напряжения на стороне ВН, относительное значение.
Ток небаланса включает в себя три составляющие:
![]()
Первая обусловлена погрешностью ТТ:

Вторая составляющая тока небаланса вызвана наличием РПН:
![]()
Третья обусловлена невозможностью установки на коммутаторах реле РНТ и ДЗТ расчетных дробных чисел витков:

или неполным выравниванием токов в плечах защиты при подборе ТТ:

где wВН РАСЧ - расчетное число витков уравнительной обмотки, включенной на стороне ВН;
wВН - принятое целое число витков той же обмотки;
I2 BH и I2 HH - средние значения вторичных номинальных токов за ТТ на сторонах ВН и НН соответственно:

Здесь kCX - коэффициент, учитывающий схему включения вторичных обмоток ТТ и обмоток реле, kCX BH = √3, kCX HH = 1; kTT - коэффициенты трансформации ТТ, установленных на сторонах ВН и НН защищаемого силового трансформатора.
2.6.2. Расчет числа витков обмоток реле РНТ-565 и ДЗТ-11
Определяется ток срабатывания реле для стороны ВН:

Рассчитывается и округляется в меньшую сторону число витков уравнительной обмотки на стороне ВН (первой, см. рис. 2.26):

где FCP - магнитодвижущая сила, необходимая для срабатывания реле, для реле РНТ-565 и ДЗТ-11 FCP = 100 ± 5 A витков. Рассчитывается и округляется в ближайшую сторону число витков второй уравнительной обмотки (включенной на стороне НН):

2.6.3. Проверка чувствительности защиты
Рассчитывается коэффициент чувствительности защиты:

где IP MIN - ток в реле, соответствующий минимальному току повреждения в зоне действия, от которого защита должна сработать;
ICP - ток срабатывания реле для той же стороны, для которой выше был определен IP MIN.
Обычно необходимо, чтобы kЧ ≥ 2, в крайнем случае kЧ ≥ 1,5 [4].
2.6.4. Особенности расчета дифференциальной защиты без торможения
Производится предварительный расчет тока срабатывания защиты без учета неизвестной третьей составляющей тока небаланса. Далее осуществляется предварительная (по той же причине) проверка чувствительности защиты. Если защита по чувствительности проходит, производится расчет чисел витков уравнительных обмоток, уточняется значение тока небаланса и проверяется надежность отстройки тока срабатывания защиты от уточненного значения тока небаланса. Если отстройка не обеспечена, расчет повторяется вновь для нового значения тока срабатывания, отстроенного от уточненного тока небаланса. Далее, как и для любой разновидности дифференциальной защиты, производится окончательный расчет коэффициента чувствительности и выполняется проверка трансформаторов тока на 10 %-ную погрешность.
2.6.5. Особенности расчета дифференциальной защиты с торможением
Первая особенность связана с отсутствием необходимости учета тока небаланса при выборе тока срабатывания защиты и, соответственно, в упрощении процедуры расчета, которая для реле серии РНТ имела, возможно, рекурсивный характер.
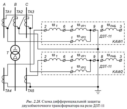
Вторая особенность связана с необходимостью расчета числа витков тормозной обмотки и выбором места ее включения. На двухобмоточных понижающих трансформаторах тормозную обмотку включают в плечо защиты, противоположное стороне источника питания (рис. 2.28), чтобы загрубление действия реле происходило только при внешних КЗ (при повреждениях в зоне действия защиты тормозная обмотка током КЗ не обтекается). Число витков обмотки:

tgα - справочная величина, учитывающая тормозные свойства реле, для реле ДЗТ-11 tgα = 0,87.

2.7. Защита предохранителями
Работа плавких предохранителей основана на тепловом действии тока. В нормальных условиях (при токе не более номинального) температура плавкой вставки предохранителя не превышает температуру плавления материала, из которого она изготовлена. При токе больше номинального в предохранителе возникает избыток тепла, температура плавкой вставки повышается и может достигнуть через определенное время значения температуры плавления. Расплавление плавкой вставки предохранителя приводит к разрыву электрической цепи, в которую он последовательно включен.
При определенных (стабильных) параметрах внешней среды предохранителя время расплавления плавкой вставки зависит от тока. Чем больше ток, тем меньше время расплавления плавкой вставки и, следовательно, полное время срабатывания предохранителя. Зависимости времени срабатывания предохранителей от тока обычно представляются в графическом виде. Их принято называть времятоковыми (защитными) характеристиками предохранителей.
Таким образом, предохранитель, включенный последовательно с контролируемой электрической цепью, обеспечивает выявление в ней повреждений, сопровождающихся повышением тока, и отключение этой цепи в случае ее повреждения (срабатывания предохранителя).
Реальные времятоковые характеристики предохранителей могут отличаться от характеристик, предоставляемых заводами-изготовителями. Так, разброс времени срабатывания предохранителей с номинальным напряжением ниже 1000 В может достигать ±50 % (рис. 2.29, а). У предохранителей с номинальным напряжением выше 1 кВ для любого времени срабатывания отклонения значений тока срабатывания не должны превышать ±20 % (рис. 2.29, б) [3].