"Способами хранения Одного управляет число 366. В числе есть Одно - сперматическая эссенция (цзин). Сперматическая эссенция (цзин) обладает одним духом (шэнь). [Когда] действие [способов] хранения Одного завершено, [то] этих духов (шэнь) можно увидеть. Способы хранения Одного обладают внутри пятью способами управления, они выталкивают сознание, устремляясь наружу, [а] если [действуют] внутри, то теряют управление. [Если] хранение Одного [применяется] неумело, [то] внутри [происходят] нарушения, [а] снаружи [появляются] предостережения, [тогда] все это делает [применение] Одного вредным.
Способы хранения Одного [таковы]: всегда есть шесть "духов властителей судеб" (сы мин шэнь), они оценивают поступки и ошибки человека. [Если следовать] способам хранения Одного, [то] тогда божества-хозяева [исправно] ведают [своими органами], в них есть корень человеческого блага и способ отсечения ошибок и приближения к вратам счастья. [Если] хранишь Одно, [то] тогда управляешь и духом, в одном духе (шэнь) сконцентрировано десять тысяч духов (шэнь), [если] они соединятся в одном теле-сосуде, [то] обретут Даопуть.
Способы хранения Одного [таковы, что если] внутри [все] подобно большим нарушениям [и] не выпрямляется, то пять дворцов находятся в разладе, [а] шесть палат теряют [своих] охранников. Множество духов (шэнь) тревожны и приходят в волнение, все они исходят [из] белого [цвета] в светозарном зале (мин тан); обязательно усмотри это по цвету лица, Небо и Земля сообща узнают это. [Если] все множество духов должно уйти, [то] и тело должно погибнуть. Способы хранения Одного [таковы, что если] их правильно применять, [они] приносят благо; проверь [их] действие, [и сам] сможешь увидеть [это]"
("Тай пин цзин", публикация 1994 года).
Число 366 - это не только количество дней в солнечном году, это еще и 366 кровеносных артерий тела человека, согласно воззрениям даосов (см. "Трактат Желтого императора о внутреннем"), Понимание этой цитаты, как и приведенной ниже, было бы весьма затруднено без знания модели "колодезной системы".
В насыщенном цифровой символикой "Каноне Трех Изначальных Совершенных Единых Августейшего Государя Золотого Портала" в частности сказано:
"В день ли-чунь (5 февраля - начало первого из 24 сезонов китайского календаря) в полночь я сижу прямо, повернувшись лицом на восток, выдыхаю девять раз и сглатываю [слюну] 35 раз. После этого я сосредотачиваюсь на семи звездах Большого Ковша. Он медленно опускается вниз до тех пор, пока не коснется макушки, и отступает по направлению к небу с рукоятью, указывающей точно вперед по направлению на восток.
Я визуализирую это таким образом, чтобы две звезды, Эссенция Инь и Совершенный Человек, оказались непосредственно над макушкой, в то время как две звезды, Свет Ян и Сокровенная Тьма, располагаются выше: Свет Ян и Эссенция Инь позади, Сокровенная Тьма и Совершенный Человек впереди. На этом мысли остаются, как если бы они были зафиксированы…Убедившись, посредством медитации, что Три Единых находятся наконец в своих соответствующих дворцах, я тихо произношу следующую молитву:
"Пять направлений управляемы Ковшом, дух опускает вниз семь звезд. Трое Почтенных, сгустившись, возникают и изменяются, наверху они созывают Пурпурный Двор. Шесть Государей Пурпурного
Двора приходят и идут в три дворца и в киноварные стены. Сокровенно они проникают в нижнюю пещеру к Великому Императору, внизу они проникают сквозь Желтое Спокойствие. Небесный Совершенный охраняет их, следит за их покоем и собирает снаружи Шесть Святых Бессмертных знака "дин" [в Книге Перемен гексаграмма "дин" - "треножник" расположена под № 50]. Бессмертные слетаются вместе с ними и едут, оседлав испарения Трех Чистых [Небесных Сфер]. Четыре конечности укрепляются, Пять внутренних органов рождаются из самих себя".
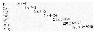
Довольно значительный блок числовой символики мы находим в "народной библии" Китая - романе У Чэн-эня "Путешествие на Запад". Вот пример:
"Вдруг откуда-то появилась [богиня] Гуаньинь и, сложив руки ладонями вместе, обратилась к Будде.
- Когда-то я получила твое повеление найти человека в восточных землях, который прибыл бы сюда за священными книгами, - сказала Гуаньинь, - ныне этот человек совершил подвиг. Он шел целых четырнадцать лет, что составляет пять тысяч сорок дней. Ему еще недостает восьми дней до того числа, которое соответствует количеству взятых им священных книг. Дозволь мне передать повеление от твоего имени.
- Я… охотно позволяю тебе распорядиться, - радостно ответил Будда Татхагата и тотчас же призвал восемь хранителей махарачжей.
- Наберитесь духу и как можно скорее доставьте праведных монахов на Восток, - велела Гуаньинь. - Как только монахи передадут священные книги, тотчас же доставьте их обратно на Запад. Даю вам на это ровно восемь дней, чтобы завершить число, совпадающее с количеством священных книг. Опаздывать нельзя!"
Число 5048 не случайное в указанном произведении. Оно является коррелятом понятия "гармонии тела (5) с окружающим миром (х 1000), достигаемом на 48 ступени (+48), контролирующей "ритмы" организма". Число 5040 также интересно в нумерологическом отношении.

Следующий - восьмой шаг, видимо и символизировался "восемью дополнительными днями".
Китайскую нумерологию и биоритмологию использовал в своем учении знаменитый мастер боевых искусств Сунь Лутан (1861–1932). В его трактате "Учение о Восьми Триграммах" ("Багуа сюэ") говорится:
"В глубокой древности жил ученый из рода правителей Поднебесной Бао Си. Созерцая небо, он сумел увидеть в нем символ Космоса "Тянь". Созерцая Землю, увидел ее как символ закона "Ди". Наблюдая птиц и зверей, понял их язык. Он тогда еще осознал необходимость сотрудничества с Природой. Вблизи, как цельность, сознанием охватил тело человека, а как дальнюю целостность - все вещи. Тогда и возникло "Восемь триграмм" (Ба-гуа) (рис. 15), достоинство которого заключается в достижении духовного прозрения. Система "Ба-гуа" стремится к классификации всего сущего, вот почему взятые символы получили такие названия.
Система этих символов годится и для рукопашного боя (цюань-шу). Что же означает, например, "вблизи, как цельность, охватить тело человека"? В этом случае будет: голова - триграмма "цянь", живот - "кунь", ступни - "чжэнь", бедра - "сюнь", уши - "кань", глаза - "ли", руки - "гэнь", рот - "дуй".
Применительно к единоборствам (цюань) это выглядит так: голова - триграмма "цянь", живот - "кунь", почки - "кань", сердце - "ли", от "вэйлюй" (первого сочленения копчика) до 7-го (большого) шейного позвонка - "сюнь", выше его - "гэнь", живот слева - "чжэнь", живот справа - "дуй".
В структуре триграмм "Ба-гуа" живот является Беспредельным "У-цзи", пупок - Великим Пределом "Тай-цзи", почки - Двумя Началами "Лян-И", руки и ноги - Четырьмя Стихиями "Сы-Сян". Руки до кисти и ноги до колен - каждые имеют по 2 сустава, а взятые вместе составляют аналогию 8 триграммам "Ба-гуа". На руках и ногах имеются 20 пальцев. Из них 4 больших, имеющих по 2 сустава пальца, остальные 16 пальцев имеют по 3 сустава, в сумме составляя 48 суставов. Приплюсуем к ним 8. суставов рук и ног, а также 8 суставов 4 больших пальцев рук и ног. В итоге имеем 64 сустава, которые соответствуют 64 гексаграммам.
И тогда скажем: Беспредельность "У-цзи" порождает Великий Предел "Тай-цзи". Тай-цзи порождает Два Начала "Лян-И". Лян-И порождают Четыре Стихии "Сы-Сян". Сы-Сян порождают 8 триграмм "Ба-гуа". Восемью восемь порождают количество, равное 64 гексаграммам. Это соответствует содержанию 4 конечностей, которые и назовем "Ба-гуа". Вышеприведенное и означает "вблизи, как цельность, охватить тело".
И далее:
"Творчество является тем направлением деятельности, в котором трансмутируется Шэнь. Ученик в своем творчестве должен стремиться к духовному перерождению. При этом необходимо сообразовываться с космическими ритмами и географическими аспектами.
Поскольку Ци зависит и от времен года, надо суметь использовать это в своих упражнениях. К космическим циклам относится год, содержащий Ци, иньское и янское. Четыре времени года состоят из восьми подразделов, каждый из которых распадается на три состояния - 24 вида Ци, в итоге 72 состояния.
Упражняясь в янский день, исходим из вращения влево, а в иньский день начнем с позиции правого поворачивания. В общих чертах - на каждый день свое изменение направления. Более подробно: перемена происходит каждый двойной час (в сутках 6 янских и 6 иньских двойных часов). Это является космическим ритмом времени. Географическим аспектом будет являться характеристика места, наиболее благоприятствующего занятиям; например, горы и роскошно цветущий лес. Либо это может быть суровый даосский монастырь, или чистый участок в доме. Это является принципиальным для освоения системы.
Надо умело пользоваться целительным духом небесного и земного (Лин Ци); воспринимая установленные ритмы Солнца и Луны, находить применение удивительным свойствам пяти Первоэлементов (У-син). В чувствовании этих ритмов (деструктивных и стимулирующих) обретается возможность союза со структурой Великой Пустоты. Это творчество, трансмутирующее Шэнь, является Махаяной боевых искусств. В дальнейшем, по мере практической работы, Шэнь становится изумительно прозрачным Цин. Эссенция (семя) - Цзин укрепляется, внешний вид становится классическим (как дается в канонах), тело сияет дружелюбием и обретает легкость. Сердце его прозорливо, а техника кулачного боя (цюань) хороша до чудесного".