Всего за 249 руб. Купить полную версию

Дети стремятся интроецировать раньше, чем начинают себя осознавать. У ребенка есть сосательный рефлекс – он пытается сосать все, что прикасается к его губам, и хватательный – ребенок стремится хватать и тянуть все, что прикасается к его рукам. Он стремится неосознанно интроецировать, совсем не управляя своими границами. Его границами управляют родители, они не дают ему сосать и хватать то, что для него вредно. Они думают и осознают за ребенка, они управляют его границами. В этом смысле ребенок ведет себя паразитически.
Постепенно эта функция: думать, осознавать и управлять своими границами, – переходит к ребенку. Если ему, конечно, позволяют взять на себя эту функцию. Если нет, то вырастает человек, который продолжает ожидать, что кто-то извне будет стремиться накормить, обогреть и защитить его. Такой человек стремится неосознанно интроецировать. Но он не способен к активному и осознанному поиску или к активному и осознанному управлению своими границами. О, сколько их ждет, хорошего мужа или царя? Читает ли кто-нибудь из них эту книгу? Как там говорил Тарас: "Чуешь ли ты меня, сынку?"
Относись осознанно, уважаемый читатель к тому, чем я тебя кормлю. Выплевывай, все что тебе не подходит… Ой, что же я делаю? Пытаюсь управлять чужими границами, считаю своего читателя маленьким? На каком, собственно говоря, основании?
Ребенок действительно в какой-то период жизни и физически и психически слит с матерью, потом перерезают пуповину, потом отлучают от груди… Это физическое отделение. Психологическое тоже происходит постепенно. Существует знаменитый кризис трехлеток, когда трехлетний ребенок, начинает отстаивать свою психологическую автономию и начинает говорить "нет" и "я сам" по поводу и без повода.
Потом переходный возраст, который начинается в 11–12 лет, когда вместе с половыми органами "дозревает" и психика. Ребенок (ребенок?!) начинает отказываться бездумно интроецировать информацию, а стремиться соотносить ее со своим, пусть пока еще не таким большим опытом. Окружающим кажется, что он непокорный и неконтактный, на самом деле человек в этом возрасте готов к полноценному диалогу, но еще не умеет настолько гибко пользоваться своими границами, не умеет вести диалог. С другой стороны: он всеми силами пытается сопротивляться неосознанному поглощению информации и в итоге оказывается в большем эготизме, большей замкнутости, чем в слиянии. И здесь многое зависит от взрослых: либо границы насильно ломаются, слияние удерживается и дальше, я не знаю, когда-такой "ребенок" повзрослеет в 18, 25 или 40 лет. Конечно, он будет повторять попытки. Но, может быть, человек действительно решит, что кто-то другой будет всегда управлять его границами. Приятное и кошмарное состояние "вечного маленького".
Другая крайность – вечная замкнутость, вечная жесткость, вечное одиночество, вечный эготизм – с упрямой мыслью где-то внутри: "Если я откроюсь – меня не примут (или съедят)". Но это крайность. Для многих это состояние мимолетное, для многих остается небольшой его след.
Но всякий раз, когда на разных тренингах я предлагаю, продать что-нибудь, я слышу одну и ту же фразу от людей которые останавливают себя. Все они говорят "Боюсь, что меня (мой товар, мою услугу) не примут". И всякий раз поиск ответа на вопрос "Что страшно в том, что не примут?" уводит куда-нибудь в детство, в неудавшийся поиск диалога.
Проекция.
Создатель гештальт-подхода Фриц Перлз определял проекцию, как событие, противоположное интроекции. В этом случае организм тоже не осознает своих границ. Меняется только движение энергии. Для меня самый наглядный вид проекции, которому с детства обучают многих детей – наказание предметов. Когда ребенок ударяется об дверь – некоторые родители подбегают к двери, пинают ее, ругают за то, что дверь ударила ребенка и т. д. Может, это и забавно выглядит, но сколько их, людей, которые искренне верят, что за то, что происходит с ними, ответственен окружающий их мир, а не они сами. Классическое описание проекции – это когда человек проецирует события своего внутреннего мира вовне, как на некий экран, мало уделяя внимания тому, какую информацию приносят его собственные органы чувств. Про таких людей есть поговорка: "У него свое кино в голове".

1.4. Примитивная модель финансовых отношений
Итак, читатель, вернемся к деньгам. Посмотрим, что происходит с границами в процессе финансовых отношений.
Введем следующие обозначения границ и характера отношений:

В этом случае можем иметь следующее варианты.
Диалогичные отношения
Итак, мы можем представить следующие варианты диалогичных отношений, связанных с обязательствами.
1. Добровольный обоюдный эквивалентный обмен обязательствами в виде товаров или услуг – бартер.

В этом случае один из партнеров оказывает услугу или предлагает товар и получает в ответ эквивалентную услугу или товар. Классическая схема: "Ты мне – я тебе".
2. Обмен с использованием Универсального Эквивалента – Денег.
Одна сторона предлагает товар, или осуществляет услугу, другая предлагает эквивалентное количество денег. Товарно-денежные отношения.

3. Обмен с использованием мягкой валюты. Одна сторона выполняет обязательства, вторая выражает эквивалентное признание.
Однако налицо очевидная разница между диалогичными сделками с использованием денег и с использованием бартера и мягкой валюты. Деньги позволяют выстраивать сколь угодно длинные и развитые цепочки эквивалентного обмена. В этом случае деньги более удобны.

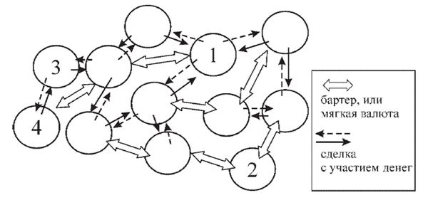
И деньги обладают способностью накапливаться и храниться. Я могу сегодня выполнить свои обязательства перед обществом, получить свою долю Универсального Эквивалента и не требовать немедленного выполнения обязательств передо мной. Я могу надеяться, что и через некоторый промежуток времени наличие у меня Денег будет гарантировать мне выполнение обществом обязательств передо мной. С учетом всего сказанного выше можно следующим образом представить примитивный докапиталистический диалогичный рынок. Поскольку сделки с бартером и мягкой валютой чаще всего бывают двусторонними, я их обозначил одинарными стрелками.

Очевидно, что на таком примитивном рынке те его участники, которые проявляют большую активность, будут иметь больше денег (№ 1). Те участники, которые избегают принимать участие в сделках с применением денег, а используют бартер или мягкую валюту (№ 2) будут иметь меньше денег, или не иметь их вовсе. Кроме того, такие участники рынка ограничивают возможности рынка в целом. В данном примере участники под номером 3 и 4 имеют очень ограниченные возможности для вступления в рыночные отношения с участником номер 2, поскольку он избегает сделок с использованием денег и фактически ведет натуральное хозяйство.
Конечно, такого рынка в настоящее время нет в природе. Можно предположить, что в таком виде он существовал на заре возникновения рыночных отношений, до возникновения капитала и избытка ресурсов.
1.5. Нарушения диалогичности в финансовых отношениях
1. Эготизм

Партнер с закрытыми границами. Человек, который не любит вступать в отношения, связанные с обязательствами. Живет по принципу: "Я никому ничего не должен, и мне не должны". Как правило, это люди с небольшими доходами. Если им случается заиметь деньги – эти деньги остаются нетронутыми бумажками, которые случайно находят родственники после смерти такого человека. Как делового партнера, вам придется год уговаривать его совершить сделку. В общем-то это человек, который во всем рассчитывает только на свои силы, то есть – непрерывно ретрофлексирует.
Деловые лозунги: "Ни на кого не надейся! Главное стабильность! И пр."
Риск: для обладателя модели – всю жизнь наблюдать как журавли и деньги проплывают мимо; для партнеров – умереть, но не договориться.
2. Слияние

Партнер без границ. Если он зашел в гости, не волнуйтесь, с пустыми руками он не уйдет. Если нужны деньги – занимайте, он вряд ли вспомнит о долге. Если одолжили вы, можете не беспокоиться. Если застанете его с деньгами – отдаст, не застанете – простит. Как деловой партнер, он может легко потратить совместные деньги и не удивится, если так поступите вы. Деловой лозунг "Все не важно!" Риск – иметь большие неприятности.
3. Интроекция
О да, это экзистенциальный кредитор. Если через пятнадцать минут деловой беседы вы уже чувствуете, что должны, значит, через час вы уже никогда не расплатитесь до конца своих дней. Деловой лозунг: "Мне все должны". Риск: для обладателя модели – остаться в одиночестве; для партнеров – попасть в зависимость.