Через три недели, 4 ноября в двенадцать часов пополуночи, – это была уже сплошная ночь – отряд в двадцать два человека пошел в поход на Шпицберген. На острове Николая Кремнева оставалось тринадцать человек, двенадцать мужчин и одна женщина. Отряд ушел по льду в обход острова, – Саговский, Лачинов, кинооператор и два матроса задержались на полсуток с тем, чтобы догнать отряд сокращенным путем через горные перевалы. Говорили, будто бы слышали, что Кремнев передал Гречневому револьвер и посоветовал из-за больных и переутомленных не останавливать похода. Кремнев несколько раз выходил из лаборатории, был молчалив и будничен, прощаясь говорил одно и то же: "будьте здоровы, будьте здоровы" – жал руки и деловито целовался со всеми. Саговский на дорогу выпил спирта, все время шутил, пел с Медведевым Шнеер-зона, просил матросов не забывать его кошек. – Ушли эти пятеро от изб в полночь, провожать их никто не пошел. Было очень тихо, тепло, градусов пятнадцать мороза. Горели звезды, Полярная была тут, над головой. Саговский шел рядом с Лачиновым, болтал всяческую ерунду, – Лачинов молчал и не слушал. Было очень невесело. У ледника встретили профессора Василия Шеметова, он гулял, расцеловались. – "Если первые будете в Москве – поклон университету", – сказал Шеметов. – "Ну, а если вы будете вперед нас, то уж поклона не передавайте, – не от кого будет!" – ответил Саговский. – Горы стояли впереди осколками луны, граниты, базальты, лед и снег. Решили подниматься по леднику и от незнания сделали ошибку, ибо на пол-аршина под снегом был лед и снег катился по льду вниз. Лачинов шутил: – альпинистам, этим спортсменам по лазанию в горах, редко выпадает такое счастье, которое стало горем им пятерым. Сначала ползти в гору было легко, – на пол горы, как показалось им, и на пятую горы, как было в действительности, они долезли быстро, сели закусить и отдохнуть. Полезли дальше. И дальше Лачинов помнил только о себе. Он полез кромкой, где скалы сходились со льдом, рассчитывая, что там камни скреплены водою, льдом, и можно будет идти, как по ступенькам, и там есть промоина, – так первый расчет его спасал, а второй губил, – ибо другие правильно разочли, что выгоднее будет лезть по сметенному в наст снегу, ибо он должен быть отложе. Лачинов лез с винтовкой в меховых штанах и куртке, с лыжными палками в руках, лыжи тащились сзади, – и скоро Лачинов понял, что он выбивается из сил, и тут начало казаться, что и до верху и до низу одинаково, и скалы базальтов внизу, что были размером в многоэтажный дом, стали в табурет, а те, что были вокруг него и снизу, казались табуретами, здесь выросли в замки. Пополз дальше на четвереньках, руки уже дрожали, – гора все круче, камни рвутся под ногами, палки в руках мешают, скользит со спины под ноги винтовка, шапка ползет на глаза, дышать нечем. – Лачинова догнал Саговский, полезли вместе; те, что поползли по насту, уже далеко впереди, кажется, уже выбрались, махали отрицательно руками, кричали что-то сверху, – крика их разобрать возможности не было – было видно лишь, что там наверху волновались. Ползли. Отвес становился круче. Сил давно уже не было. Вползли в ущелье, выползли – и увидели, что впереди пути нет: отвес, навес над ними. Теперь было слышно, что сверху кричали, чтобы вернулись, – и люди наверху казались размером в шмеля, их едва было слышно. Саговский полез обратно, – Лачинов понял, что назад ему не спуститься, сорвется, разобьется, погибнет: если по этому отвесу, что впереди, проползти, двинуться вверх и налево, с девяноста шансами сорваться, то там будет спасение. Лачинов никогда больше не переживал такого ощущения, как тогда, когда он сознавал, что действует, движется не он, а кто-то, живущий в нем, инстинкт, ловкий, как кошка, точный, как механика, хоть руки и сердце отказывались работать. Пополз, первый камень сорвался – и сразу сорвалась кожа рукавицы. Сполз сажень, вниз, зацепился за камень, – пополз вбок и вперед, – тех, кто был наверху, не видно было за отвесом, и сплошной отвес был внизу. Как выполз Лачинов – он не помнил. Сверху спустили веревку и вытащили уже по сплошному отвесу на скалу. – И наверху их встретил ветер, который сразу перебрал все ребра и захолодил руки так, что они ничего не брали. Полярная была на прежнем месте, но все другие звезды опрокинулись в небе: на часах был полдень. И страшное одиночество открывалось под звездами – земли и моря, где не ступала нога человека. Вдали за перевалом в бинокль был виден огонь – там ждал отряд, туда надо было идти. Сзади в бинокль уже ничего не было видно. – В расщелине двух гор был глетчер, в глетчерных пещерах висели сосульки в несколько человеческих ростов – –
В тот день, когда ушел отряд на Шпицберген, профессор Василий Шеметов, друг Николая Кремнева, так Кремнев, не похожий на кабинетного ученого и похожий на бродягу, писал свою работу о причинах цвета неба и моря. – Начало этой работы было такое:
"Когда в ясный летний день вы глядите на море, вам кажется, что синяя окраска моря зависит от голубизны неба. Однако в действительности положение вещей совсем не таково, в чем нетрудно убедиться следующими примерами. Для этого достаточно сравнить, с одной стороны, насыщенный синий цвет Нордкапского течения, которое протекает в водах Полярного моря и, с другой стороны, – бледный, зеленовато-серый цвет Азовского моря, над которым сияет яркое южное небо. Выяснением причин цветности моря занимался целый ряд ученых, начиная с Леонардо да Винчи – –"
– – в день, когда ушел отряд, Шеметов писал:
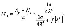
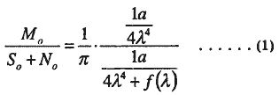
"…подставляя в уравнение (1') вместо ∫0 и ∫ их выражения, найдем:

или иначе:

Нетрудно видеть, что полученное равенство позволяет вычислить спектр того внутреннего света, который сообщает морю его характерную окраску; для этого нужно только знать f(λ) и a.
Значение f(λ) для различия длин волн было получено целым рядом экспериментаторов (рис. 1, кривая № 1). Что касается значения а, то его можно также определить из опыта, находя коэффициент "абсорбации" света в морской воде" – –
…Лачинов как-то говорил о прекрасной человеческой воле – знать, познавать, волить, познать – –
– – Арктической ночью на восток от Шпицбергена и на градусе Могучего над бумагой, картами и таблицами сидел человек Николай Кремнев, – на столе горел в плошке тюлений жир, и против Кремнева сидел второй русский профессор, вычислял углы отражений света в морях, Василий Шеметов. Они молчали, изредка они курили махорку – –
Глава третья
На острове Николая Кремнева экспедицией был оставлен гурий. Грамота на пергаменте, написанная тушью, была вложена в стеклянную банку и запаяна в железо. Гурий был поставлен около изб. В грамоте было написано: