
"С": Интеллигенция тоже именовалась прослойкой! Но любому цивилизованному обществу она необходима точно так же, как БАЗА биполярному транзистору! И в одном, и в другом случае эта база играет решающую и определяющую роль! Если она имеется, то имеется все!
"А": Благодарю за высокую оценку роли интеллигенции в современном обществе! А вот какова роль базы в транзисторе?
"С": Давай сперва, опираясь на опыт, полученный при рассмотрении р-n-перехода, представим себе транзистор графически. Пусть это будет n-р-n-транзистор! Посмотрите на его изображение внимательно. Из рисунка следует тот факт, что при любой полярности батареи G, один из переходов окажется подключенным в прямом, а другой в обратном направлении.
"Незнайкин": То есть "что бы мы ни делали - не идут дела"! То есть я хотел сказать, ток по цепи не проходит!
"С": Правильно! Хотя, если учитывать тот факт, что реально скорости электронов НЕ РАВНЫ, а существует некоторое распределение их по скоростям, то хотя бы в силу этого ВСЕГДА есть небольшое количество высоко скоростных электронов, которые пройдут через р-n-переход. Вот такой небольшой СКВОЗНОЙ ток будет иметь место в данном случае! Этот ток очень мал и не зависит от величины приложенного напряжения (поймите меня правильно - только до определенного предела!)
"Н": А если температура будет возрастать?
"С": Тогда, что совершенно естественно, возрастет и сквозной ток! Более того, возросший сквозной ток будет вызывать дополнительное нагревание переходов…
"А": Что вызовет новое возрастание тока, а оно, в свою очередь - еще большее нагревание! И так далее!..
"С": Но вовсе не до бесконечности, а до ТЕПЛОВОГО ПРОБОЯ, который в подобных случаях приводит к разрушению структуры кристалла транзистора!
"Н": Классно получается! Мы еще не начали толком анализ работы транзистора, но уже знаем, что режим с ОТКЛЮЧЕННОЙ БАЗОЙ - недопустим!
"С": И запомните эту ИСТИНУ на всю дальнейшую жизнь!..
"А": Но ведь база должна куда-нибудь подключаться?
"С": Естественно. А потому нарисуем новую картинку. И внесем в нее одно небольшое добавление… А именно, между эмиттером и базой, в прямом направлении, мы подключим одну небольшую батарейку, и все (рис. 13.2)!..

"А": Ничего себе "и все"! Сразу "все смешалось в доме Облонских"!
"С": Ах, оставьте Облонских в покое, нам и своих забот выше крыши!
Посмотрите на рисунок! Поскольку переход база - эмиттер включен в прямом направлении, то не будь коллектора - ОН весь ушел бы в базу! Он - это, конечно же, прямой ток перехода. Но, выстроившиеся в коллекторной области положительно ионизированные доноры, своим полем как бы "перехватывают" большую часть проникнувших в базу со стороны эмиттера электронов. И, дополнительно разогнав их, сообщают им достаточную энергию, чтобы они не завернули назад. То есть чтобы они не свернули к положительно ионизированным донорам коллектора, а смогли бы дойти к обозначенной штриховкой зоне коллектора, где их "подхватит" своим положительно заряженным полюсом батарея Gк-э! Далее, уже как коллекторный ток Iк, эти электроны "проследуют" к Gк-э. А из отрицательного полюса этой же батареи ПРИБЛИЗИТЕЛЬНО такое же количество электронов "войдет" в область эмиттера.
"Н": Вы случайно употребили слово "приблизительно"?
"С": Многие философы готовы прозакладывать свою собственную голову, что во Вселенной нет ничего случайного! Я, в принципе, не против того, чтобы поспорить на эту тему, но в данном случае выражение ПРИБЛИЗИТЕЛЬНО я употребил действительно НЕ случайно!
"А": Да и на рисунке видно, что два-три электрончика взяли, да и свернули в базу, перехваченные пусть и небольшим, но тем не менее тоже ПОЛОЖИТЕЛЬНЫМ полюсом батарейки Gб-э.
"С": Очень верное наблюдение! И так будет всегда! Базовый и коллекторный ток в транзисторе неразлучны в том смысле, что для любого транзистора это соотношение выполняется очень строго. Достаточно тем или иным путем добиться увеличения базового тока, как возрастает и коллекторный ток!
Ну, а если базовый ток уменьшается, то можете быть спокойны - коллекторный ток уменьшится в той же пропорции!
"А": А может стоит попробовать нарисовать пару формул на эту тему?
"С": Паркуа бы и нет? Следите за движением кончика моей шариковой ручки:
Iэ= Iб + Iк; Iк = К∙Iб.
"Н": А что такое К?
"С": А вот это ИМЕННО ТОТ параметр, о котором многие десятки лет мечтали лучшие физики мира! К - это КОЭФФИЦИЕНТ УСИЛЕНИЯ ТРАНЗИСТОРА по ТОКУ! Поскольку Iк всегда много больше, чем Iб.
"Н": Ну и насколько больше, хотелось бы узнать?
"С": Лучше выразиться так - во сколько раз больше!? Для имеющихся на сегодняшний день в арсенале электроники биполярных транзисторов, коэффициент К (в зависимости от типа и режима транзисторов) находится в пределах от 15 до нескольких тысяч!
"Н": А от чего это зависит?
"А": Прежде всего, от толщины базовой области. Но, дорогой Спец, я часто в литературе и в разговорах радистов слышал выражение "коэффициент усиления транзистора - α" и "коэффициент усиления транзистора - β". Что имеется в виду?
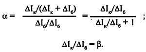
"С": Действительно, существует несколько различных коэффициентов усиления. Если говорить более строго, то коэффициенты усиления и следует расписать так:
α = ΔIк/ΔIэ = ΔIк/(ΔIк + ΔIб) поскольку ΔIэ = ΔIк + ΔIб

тогда
α = β/(1 + β)
Коэффициент усиления α - всегда меньше 1, а β - больше.
"Н": А какой физический смысл аир?
"С": Все зависит от основной схемы включения транзистора. А вариантов включения известно только три. С общей базой, общим эмиттером и общим коллектором. И мы сейчас поговорим об этом более подробно. Но прежде вопрос - всем понятно, что процессы в р-n-р-транзисторе протекают аналогично?
"А": Да, но только следует поменять полярности обеих батарей на предыдущем рисунке и заменить доноры на акцепторы и, соответственно, акцепторы на доноры. Ну, а электроны - дырками и наоборот.
"С": Совершенно верно! Значит, со спокойной душой переходим к основным схемам включения. Первая из них - схема с ОБЩЕЙ БАЗОЙ или ОБ. Вот как это выглядит в первом приближении (рис. 13.3).